ngµç×ÓÓÎÏ·ÐÂÎÅÍøÑ¶£¨Í¨Ñ¶Ô±ÕÔÏÖÍ¢£©¿ËÈÕ£¬£¬£¬ngµç×ÓÓÎÏ·Ö×Áö·ÀÖÎÖÐÐĸ¾¿ÆÁõ¼Ìºì½ÌÊÚÍŶӣ¬£¬£¬ÁªºÏÄÏ·½Ò½¿Æ´óѧ¡¢»ªÖпƼ¼´óѧͬ¼ÃҽѧԺÁ¥Êôͬ¼ÃÒ½Ôº¡¢Õã½´óѧҽѧԺÁ¥Êô¸¾²ú¿ÆÒ½ÔºµÄÏàÖúÕßÍŶӣ¬£¬£¬ÔÚ¡¶ÁøÒ¶µ¶¡¤Êý×Ö¿µ½¡¡·£¨The Lancet Digital Health£©½ÒÏþÁËÌâΪ¡¶Ê¹ÓÃʵÑéÊÒÄ¥Á·µÄÈ˹¤ÖÇÄÜÄ£×Ó׼ȷÕï¶ÏÂѳ²°©£º£º£ºÒ»ÏîÖйúµÄ¶àÖÐÐÄ¡¢»ØÊ×ÐÔÐÐÁÐÑо¿¡·µÄÑо¿Ð§¹û¡£¡£
Õë¶ÔÂѳ²°©ÏÖÔÚÔçÆÚÕï¶ÏÄÑÌ⡢ȱ·¦ÓÐÓÃÖ×Áö±ê¼ÇÎïµÄÄæ¾³£¬£¬£¬Ñо¿ÍŶӻùÓÚͨÀýÌå¼ìÖеÄʵÑéÊÒÄ¥Á·¹¹½¨ÁËÂѳ²°©Õï¶ÏÈ˹¤ÖÇÄÜÈÚºÏÄ£×Ó£¬£¬£¬ÎªÂѳ²°©ÌṩÁËÒ»Öֵͱ¾Ç®¡¢Ò×»ñÈ¡£¬£¬£¬ÇÒ¸ß׼ȷÂʵĸ¨ÖúÕï¶Ï¹¤¾ß£¬£¬£¬ÓÐÍûÖúÁ¦Âѳ²°©µÄ¾«×¼·À¿Ø¼°ÔçÆÚÕï¶Ï¡£¡£

Ä£×ÓʾÒâͼ
Âѳ²°©ÔçÕïÄÑÌ⣬£¬£¬Ñо¿ÍŶÓÈá°Ð¡Ä¥Á·¡±Ê©Õ¹¡°×ÅÊöÓá±
Âѳ²°©ÊÇÖÂËÀÂÊ×î¸ßµÄ¸¾¿Æ¶ñÐÔÖ×Áö£¬£¬£¬Æä5ÄêÉúÑÄÂʽöΪ40%¡£¡£Âѳ²°©·¢²¡ÒþÄ䣬£¬£¬ÎÞÌØÒìÐÔµÄÖ¢×´ÌåÕ÷£¬£¬£¬Áè¼ÝÒ»°ëµÄ»¼Õß·¢Ã÷ÒÑÊÇÍíÆÚ£¬£¬£¬ÕâÊÇÂѳ²°©Ô¤ºó²îµÄÖ÷ÒªÔÒò¡£¡£
ÏÖÔÚ£¬£¬£¬ÁÙ´²ÉÏÔËÓõÄÖ÷ÒªÂѳ²°©±ê¼ÇÎïΪÌÇÀ࿹Ô125£¨CA125£©ºÍÈ˸½ØºÂѰ×4(HE4)£¬£¬£¬Ñо¿ÒÑ֤ʵÆäÃô¸ÐÐÔºÍÌØÒìÐÔÓÐÏÞ¡£¡£×ܵÄÀ´Ëµ£¬£¬£¬Ä¿½ñȱ·¦±ê¼ÇÎïʵÏÖÂѳ²°©µÄÔçÆÚÕï¶Ï£¬£¬£¬Ø½Ð迪չеÄÂѳ²°©Õï¶Ï±ê¼ÇÎïÐÖúÂѳ²°©Õï¶Ï×ß³öÄæ¾³¡£¡£
ͨÀýʵÑéÊÒÄ¥Á·£¨°üÀ¨ÑªÍ¨Àý¡¢Éú»¯¼ì²é¡¢ÄýѪ¼ì²é¡¢ÄòÒº¼ì²éµÈ£©ÊÇÁÙ´²ºÍÌå¼ìÖÐ×î³£Óõļì²éÏîÄ¿¡£¡£¼ÈÍùÑо¿ÒÑ֤ʵ£¬£¬£¬²¿·Ö³£¼ûÄ¥Á·ÏîÄ¿£¬£¬£¬ÈçѪҺÖеİ×ÂѰ×Ũ¶È¡¢ÑªÐ¡°å¼ÆÊý¡¢ÖÐÐÔÁ£Ï¸°û¼ÆÊýµÈ£¬£¬£¬ÓëÂѳ²°©µÄÕï¶ÏºÍÔ¤ºóÏÔÖøÏà¹Ø£¬£¬£¬ÌáÐÑÕâЩͨÀýÄ¥Á·Ö¸±ê¾ßÓгÉΪÂѳ²°©±ê¼ÇÎïµÄDZÁ¦¡£¡£
ÕâЩ±ê×¼»¯µÄʵÑéÊÒÄ¥Á·ÒªÁ죬£¬£¬Ä¥Á·±¾Ç®µÍ£¬£¬£¬ÒÑÆÕ±éÔËÓÃÓÚͨÀýÌå¼ìºÍ¸÷¼¶Ò½ÁÆ»ú¹¹ÖС£¡£ÈôÄÜÒÔÕâЩĥÁ·Ö¸±ê×÷Ϊ±ê¼ÇÎ£¬£¬¶ÔÌá¸ßÌå¼ì»ú¹¹ºÍϲãÒ½ÁÆ»ú¹¹µÄÂѳ²°©Õï¶Ïˮƽ£¬£¬£¬¸ÄÉÆ¼²²¡¶þ¼¶Ô¤·ÀÏÖ×´£¬£¬£¬½ø¶ø¸ÄÉÆÂѳ²°©»¼ÕßµÄÔ¤ºó¾ßÓÐÖ÷ÒªÒâÒå¡£¡£
Á¢Òì¹¹½¨Âѳ²°©Ô¤²âÄ£×Ó£¬£¬£¬¾«×¼Ëø¶¨·çÏÕÈËȺ
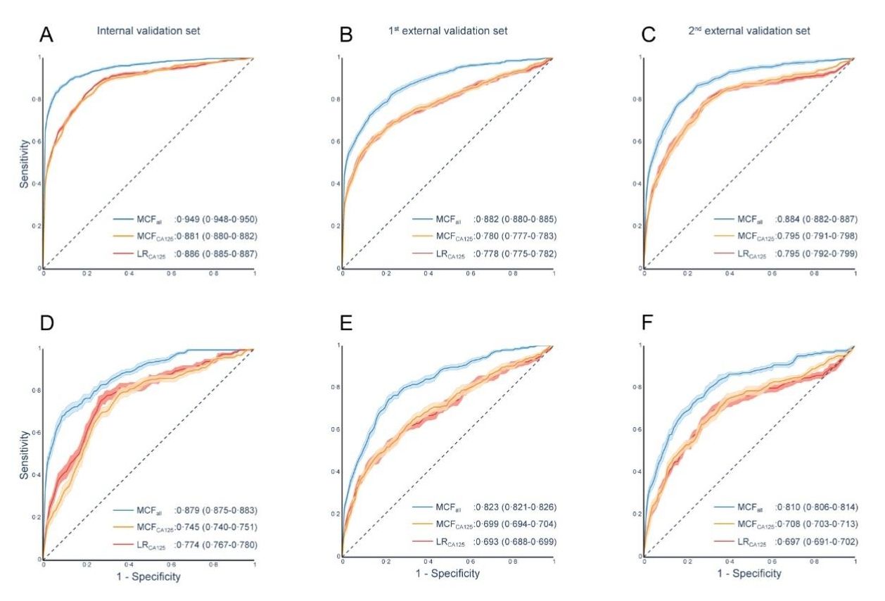
Ñо¿Õß¹²ÍøÂçÁËngµç×ÓÓÎÏ·Ö×Áö·ÀÖÎÖÐÐÄ¡¢»ªÖпƼ¼´óѧͬ¼ÃҽѧԺÁ¥Êôͬ¼ÃÒ½Ôº¡¢Õã½´óѧҽѧԺÁ¥Êô¸¾²ú¿ÆÒ½ÔºÁè¼Ý1ÍòÀýÅ®ÐÔµÄ98ÏîʵÑéÊÒ¼ì²éЧ¹û£¬£¬£¬²¢»ùÓÚÍŶÓ×ÔÖ÷Ñз¢µÄÁ¢ÒìÈ˹¤ÖÇÄÜÈںϿò¼Ü¡ª¡ªMCDM¿ò¼Ü£¬£¬£¬ÈÚºÏ20¸öÈ˹¤ÖÇÄÜ»ù·ÖÀàÄ£×Ó£¬£¬£¬¹¹½¨ÁËÂѳ²°©Ô¤²âÄ£×Ó¡ª¡ªMCFÄ£×Ó¡£¡£¸ÃÄ£×Ó×îÖÕÄÉÈë51ÏîʵÑéÊÒÄ¥Á·Ö¸±êºÍÄêË꣬£¬£¬ÆäÔÚÄÚ²¿ÑéÖ¤¼¯ºÍÁ½¸ö×ÔÁ¦µÄÍⲿÑéÖ¤¼¯ÉϵÄAUC»®·Ö´ï0.949£¨95%CI 0.948-0.950£©¡¢0.882£¨0.880-0.885£©ºÍ0.884£¨0.882-0.887£©¡£¡£
Ñо¿Ð§¹ûÏÔʾ£¬£¬£¬MCFÄ£×Óʶ±ðÂѳ²°©»¼Õß¡¢ÌØÊâÊÇÔçÆÚÂѳ²°©»¼ÕßµÄAUCºÍѸËÙ¶ÈÏÔÖø¸ßÓڹŰåÂѳ²°©±ê¼ÇÎïCA125¡¢HE4¼°Á½ÕßÁªºÏ£¬£¬£¬ÇÒÔÚ²¿·ÖÖ¸±êȱʧµÄÈËȺÖÐÒÀÈ»¿ÉÒÔ¶ÔÂѳ²°©µÄ·çÏÕ¾ÙÐнÏ׼ȷµÄÔ¤²â£¬£¬£¬ÌáÐÑMCFÄ£×Ó¾ßÓнϺõÄÎȹÌÐÔ£¬£¬£¬²¢¶ÔÕæÊµÌìÏÂÊý¾Ý¾ßÓнϺõļæÈÝÐÔ¡£¡£

Ä£×Ó±ÈÕÕCA125¶ÔÂѳ²°©£¨Í¼A-C£©¡¢ÔçÆÚÂѳ²°©£¨D-F£©µÄÕï¶ÏЧÄÜ
¸ÃÑо¿ÎªÂѳ²°©ÌṩÁËÒ»Öֵͱ¾Ç®¡¢Ò×»ñÈ¡£¬£¬£¬ÇÒ׼ȷµÄÈ˹¤ÖÇÄܸ¨ÖúÕï¶Ï¹¤¾ß¡ª¡ªMCFÄ£×Ó¡£¡£ÓÉÓÚÄ£×ÓʹÓõÄËùÓÐÌØÕ÷¾ùΪͨÀýʵÑéÊÒÏîÄ¿£¬£¬£¬¹ÊÔÚÌå¼ì»ú¹¹»ò¶Ô¸¾¿ÆÖ×ÁöÂÄÀúÓÐÏÞµÄϲãÒ½ÁÆ»ú¹¹ÖУ¬£¬£¬¸ÃÄ£×Ó¿ÉΪÂѳ²°©µÄÕï¶ÏÌṩÃû¹óÇÒ¸ßЧµÄ¾öÒé×ÊÖú¡£¡£
±¾Ñо¿¹¹½¨µÄMCFÄ£×ÓÒÑ·âװΪ¿ªÔ´µÄÂѳ²°©Ô¤²â¹¤¾ß£¬£¬£¬ÊäÈëÏìӦʵÑéÊÒÄ¥Á·Êý¾ÝºÍÄêËê¼´¿ÉÅÌË㻼Âѳ²°©µÄ·çÏÕÖµ¡£¡£±ðµÄ£¬£¬£¬±¾Ñо¿»¹·¢Ã÷£¬£¬£¬³ýÖ×Áö±ê¼ÇÎïÍ⣬£¬£¬ÆäËûͨÀýʵÑéÊÒÄ¥Á·£¬£¬£¬ÈçD-D¶þ¾ÛÌ塢ѪС°å¼ÆÊýµÈ£¬£¬£¬Ò²¶ÔÂѳ²°©Õï¶ÏÔ¤²âÓнϴóТ˳£¬£¬£¬ÌáÐÑÕâЩĥÁ·Ö¸±êÏà¹Ø²¡ÀíÐÄÀíÀú³Ì¿ÉÄÜÔÚÂѳ²°©µÄ¿ªÕ¹Àú³ÌÖÐʩչÁËÖ÷Òª×÷Ó㬣¬£¬ÆäDZÔÚ»úÖÆÖµµÃ½øÒ»²½Ì½ÌÖ¡£¡£
ngµç×ÓÓÎÏ·Ö×Áö·ÀÖÎÖÐÐIJ̹âÑþ²©Ê¿¡¢ÄÏ·½Ò½¿Æ´óѧ²©Ê¿Ñо¿Éú»Æ·½¿¡¡¢»ªÖпƼ¼´óѧͬ¼ÃҽѧԺÁ¥Êôͬ¼ÃÒ½Ôº¸ßÔ½²©Ê¿¡¢Õã½´óѧҽѧԺÁ¥Êô¸¾²ú¿ÆÒ½ÔºÀîÏþ½ÌÊÚΪ±¾ÎÄÅäºÏµÚÒ»×÷Õߣ»ngµç×ÓÓÎÏ·Ö×Áö·ÀÖÎÖÐÐÄÁõ¼Ìºì½ÌÊÚ¡¢ÄÏ·½Ò½¿Æ´óѧÕçöνÌÊÚ¡¢»ªÖпƼ¼´óѧͬ¼ÃҽѧԺÁ¥Êôͬ¼ÃÒ½Ôº¸ßÇìÀÙ½ÌÊÚΪÅäºÏͨѶ×÷Õß¡£¡£
ÂÛÎÄÁ´½Ó£º£º£ºhttps://www.thelancet.com/journals/landig/article/PIIS2589-7500(23)00245-5/fulltext