ngµç×ÓÓÎÏ·ÐÂÎÅÍøÑ¶£¨Í¨Ñ¶Ô±³ÌÃ÷Ãã£©Ëæ×Å´óÊý¾ÝÊÖÒÕÓëÓ¦ÓõÄÅ¿ªÕ¹,ʹÓøßά¡¢¸ßƵµÄÐÂÐͽṹ»¯Êý¾Ý¹¹½¨Òò×ÓÄ£×Ó²¢¾ÙÐо¼ÃÔ¤²âÒѳÉΪĿ½ñ¾¼ÃѧÑо¿µÄÈÈÃÅ¡£¡£¡£¡£¡£ÔÚ±ê×¼µÄÒò×ÓÄ£×Ó¿ò¼ÜÏÂ,Ñо¿Ö°Ô±Í¨³£¼ÙÉèÒò×ÓÔØºÉ£¨»ò³ÆÎª±´Ëþ¦Â£©Ôڽϳ¤µÄʱ¼ä¿ç¶ÈÖмá³ÖÎȹ̡£¡£¡£¡£¡£µ«½üÄêÀ´Ô½À´Ô½¶àµÄÑо¿Ö¤¾ÝÅú×¢,Òò×ÓÔØºÉÏÖʵÉÏÊÇʱ±äµÄ¡£¡£¡£¡£¡£
ngµç×ÓÓÎÏ·ÁëÄÏѧԺ³ÌÃ÷ÃãÖúÀí½ÌÊÚÓëÃÀ¹úÂÞ¸ñ˹´óѧ£¨Rutgers University£©ÁÎÔ½ÌÊÚ¡¢ÑîÏ£Ò°¸±½ÌÊÚÏàÖúµÄÂÛÎÄ¡°Uniform predictive inference for factor models with instrumental and idiosyncratic betas¡±ÓÚ2023Äê1ÔÂÔÚ¼ÆÁ¿¾¼ÃѧÁìÓò¶¥¼¶ÆÚ¿¯Journal of EconometricsÔÚÏß½ÒÏþ¡£¡£¡£¡£¡£
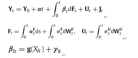
±¾ÎÄÌá³öÁËÒ»¸öÔÊÐíÒò×ÓÔØºÉËæÌØÕ÷±äÁ¿¶¯Ì¬×ª±äµÄÒþÐÔÒò×ÓÄ£×Ó,²¢Ê¹ÓÃͶӰÖ÷ÒòËØÆÊÎöÒªÁ죨Projected principal component analysis£¬£¬£¬P-PCA£©¶Ôʱ±äµÄÒþÐÔÒò×Ӻͱ´Ëþ¦Â¾ÙÐÐÔ¤¼Æ,´Ó¶øÌá¸ßÁ˺óÐøÒò×ÓÔöǿԤ²âµÄ׼ȷÐÔ¡£¡£¡£¡£¡£Í¬Ê±£¬£¬£¬±¾ÎÄÑо¿ÁË»ùÓÚ¸ÃÄ£×Ó¿ò¼ÜÏÂÒò×ÓÔ¤²âµÄÒ»ÖÂÐÔͳ¼ÆÍƶÏÀíÂÛ¡£¡£¡£¡£¡£ÏêϸÀ´Ëµ,±¾ÎĵÄÖ÷ÒªÄÚÈݰüÀ¨:
(1)ÔÚÁ¬ÐøÊ±¼ä¿ò¼ÜÏ£¬£¬£¬¹¹½¨Á˾ßÓÐʱ±äÒò×ÓÔØºÉµÄ¸ßάÒþÐÔÒò×ÓÄ£×Ó¡£¡£¡£¡£¡£½«Òò×ÓÔØºÉÆÊÎöΪÁ½¸ö×é³É²¿·Ö:Ò»¸öÊÇ»ùÓÚ¿ÉÊÓ²ìµÄÌØÕ÷±äÁ¿µÄ·ÇÏßÐÔº¯Êý,·´Ó³Æ½Îȵĺã¾Ã¶¯Ì¬;ÁíÒ»¸öÊDzвîÏî,²¶»ñ±´Ëþ¦ÂµÄ¸ßƵ²¨¶¯¡£¡£¡£¡£¡£

(2)Ìá³öʹÓÃͶӰÖ÷ÒòËØÆÊÎöÒªÁ죨Projected Principal Component Analysis£©¾ÙÐÐÄ£×ÓÔ¤¼Æ¡£¡£¡£¡£¡£´Ë·Ç²ÎÒªÁìÓÐÓõØÊ¹ÓÃÁËÌØÕ÷±äÁ¿ÐÅÏ¢£¬£¬£¬ÄÜÄâºÏδ֪ÇÒÖØ´óµÄ·ÇÏßÐÔº¯Êý£¬£¬£¬²¢ÒÖÖÆÁ˱´Ëþ¦ÂÖÐµÄ¸ßÆµÌØÒìÐÔ²¨¶¯¶ÔÒò×ÓÔ¤¼ÆµÄÓ°Ïì¡£¡£¡£¡£¡£
(3)ÍÆµ¼ÁËÌõ¼þ¾ùÖµÔ¤²âÎó²îµÄ¸÷Ö÷ÒªÒòËØ,ÆÊÎöÁËÌØÒìÐÔ±´ËþÎó²î£¨Idiosyncratic Beta Error£©ÕâÒ»ÐÂÔöÏîÔõÑùÓ°Ïì×ÜÌåµÄÒò×ÓÔ¤²âÎó²î£¬£¬£¬²¢¹¹½¨ÁËÒ»ÖÂÓÐÓõÄÔ¤²âÇø¼ä¡£¡£¡£¡£¡£

(4)ͨ¹ý´ó×ÚÃÉÌØ¿¨ÂåÄ£ÄâʵÑéÒÔ¼°»ùÓÚÕæÊµÊý¾ÝµÄʵ֤Ԥ²âÑо¿½ÏÁ¿Á˹ŰåPCAºÍ±¾ÎÄÓ¦ÓõÄP-PCAÒªÁì¡£¡£¡£¡£¡£Ð§¹ûÅú×¢ºóÕß¿ÉÒÔ»ñµÃ¸üÓÐÓá¢×¼È·µÄÒò×ÓÔ¤¼ÆÁ¿£¬£¬£¬´Ó¶øÌá¸ßÁËÔ¤²âµÄ׼ȷÐÔ¡£¡£¡£¡£¡£
±¾ÎĵÄÁ¢ÒìÓëТ˳Ö÷ÒªÌåÏÖÔÚÒÔϼ¸¸ö·½Ãæ:µÚÒ»,ÔÚÒªÁìÉÏ,À©Õ¹Á˱ê×¼µÄÒò×ÓÄ£×ÓºÍÒò×ÓÔöǿԤ²âµÄÑо¿¿ò¼Ü,Ìá³öÁË»ùÓÚÌØÕ÷±äÁ¿Çý¶¯µÄʱ±äÒò×ÓÔØºÉϵͳ¡£¡£¡£¡£¡£µÚ¶þ,ÔÚÀíÂÛÉÏ,ÏêÏ¸ÍÆµ¼ÁËÔ¤²âÎó²îµÄ¸÷¸öÖ÷ÒªÒòËØ,Õ¹ÏÖÁËʱ±ä¸ºÔضÔÒò×ÓÔöǿԤ²âµÄÓ°Ïì¡£¡£¡£¡£¡£µÚÈý,ÔÚʵ֤ÉÏ,Ó¦ÓÃ¸ßÆµÊý¾Ý֤ʵÎúP-PCAÒªÁìÏà¹ØÓڹŰåµÄPCAÒªÁì¿ÉÒÔ»ñµÃ¸üÎȽ¡¡¢×¼È·µÄÔ¤¼ÆÓëÔ¤²âÖµ¡£¡£¡£¡£¡£µÚËÄ,¹¹½¨ÁËÔÚÖÖÖÖÊý¾ÝÌìÉúÀú³ÌϾùÊÊÓõÄÒ»ÖÂÐÔÔ¤²âÇø¼ä¡£¡£¡£¡£¡£
×ÜÖ®£¬£¬£¬±¾ÎÄΪÒò×ÓÄ£×ÓÏà¹ØÑо¿µÄÀíÂÛÁ¢ÒìÌṩÁËеÄÊÓ½ÇÓë¿ò¼Ü£¬£¬£¬²¢¶Ô¸ßά¡¢¸ßÆµÌØÕ÷µÄÐÂÐͽṹ»¯Êý¾ÝÓ¦ÓÃÌṩÁËеÄÒªÁì¡£¡£¡£¡£¡£
ÂÛÎÄÁ´½Ó£ºhttps://www.sciencedirect.com/science/article/pii/S0304407622002123