ngµç×ÓÓÎÏ·

05

¿ÆÑÐÏ£Íû

и¨ÖúÃâÒßÖÎÁÆÄÜÏÔÖø¸ÄÉÆÕâÀà½áÖ±³¦°©»¼Õߵĺã¾ÃÉúÑÄ

¸å¼þȪԴ£º£ºÖ×Áö·ÀÖÎÖÐÐÄ ±à¼­£º£ºÌ¸Ï£¡¢Íõ¶¬Ã· ÉóºË£º£ºÖª×ã ÔĶÁÁ¿£º£º

ngµç×ÓÓÎÏ·ÐÂÎÅÍøÑ¶£¨Í¨Ñ¶Ô±ÕÔÏÖÍ¢¡¢Ö£Ãôɺ£©2023Äê1ÔÂ12ÈÕ£¬ £¬£¬ngµç×ÓÓÎÏ·Ö×Áö·ÀÖÎÖÐÐĶ¡ÅàÈÙ¡¢ÕÅÏþʵ¡¢ÅËÖ¾ÖÒ½ÌÊÚÁìÏεĶàÖÐÐÄÍŶÓÔÚÃÀ¹ú¹úÁ¢×ۺϰ©Ö¢ÍøÂ磨NCCN£©¹Ù·½ÔÓÖ¾Journal of the National Comprehensive Cancer Network ÔÚÏß½ÒÏþÁËÌâΪ¡°Ð¸¨ÖúÃâÒßÖÎÁÆÎª¾ÖÏÞÐÔ´íÅäÐÞ¸´ÂѰ×ȱÏÝ»ò΢ÎÀÐǸ߶Ȳ»Îȹ̣¨dMMR/MSI-H£©½áÖ±³¦°©´øÀ´ÏÔÖøÁÆÐ§ºÍµÍ¸´·¢ÂÊ¡±µÄÎÄÕ£¬ £¬£¬ÔÚ¹ú¼ÊÉÏÊ״ᨵÀϳ¡²¿ÍíÆÚ½áÖ±³¦°©Ð¸¨ÖúÃâÒßÖÎÁƵĺã¾ÃÁÆÐ§¡£¡£

Ñо¿·¢Ã÷£¬ £¬£¬´íÅäÐÞ¸´ÂѰ×ȱÏÝ»ò΢ÎÀÐǸ߶Ȳ»Îȹֲ̾¿ÍíÆÚ½áÖ±³¦°©Í¨¹ýPD-1¿¹ÌåÃâÒßÖÎÁƺó£¬ £¬£¬²»µ«ÄÜ·ñ»ñµÃÏÔÖøµÄ½üÆÚÁÆÐ§£¨60%µÄ²¡ÀíÍêÈ«»º½â£©£¬ £¬£¬²¢ÇÒÒ²ÏÔÖøÌá¸ßÁËÔ¶ÆÚÉúÑÄ£¬ £¬£¬Í¬Ê±¸üºÃµØ±£È«ÁËÆ÷¹Ù¹¦Ð§£¬ £¬£¬½ü1/4»¼ÕßµÖ´ïÖ×ÁöÍêÈ«»º½â¶ø×èÖ¹ÊÖÊõ¡£¡£ÕâÊÇÆù½ñΪֹ¹ú¼ÊÉϹØÓÚ½áÖ±³¦°©Ð¸¨ÖúÃâÒßÖÎÁÆÁìÓòÑù±¾Á¿×î´óµÄÑо¿£¬ £¬£¬Ò²ÊǸÃÁìÓòµÚÒ»Ïîи¨ÖúÃâÒßÖÎÁƺã¾ÃÁÆÐ§µÄ±¨µÀ¡£¡£

¸ÃÑо¿»ñµÃÁËÔÓÖ¾Ö÷±àºÍ¹ú¼ÊÙÉÐÐµÄÆÕ±éÈϿɣ¬ £¬£¬±»Ñ¡ÎªÆÚ¿¯µÄÖ÷ÌâÎÄÕ£¨Subject of the issue£©£¬ £¬£¬ÔÓÖ¾¶ÔÖ÷ÒªÑо¿Õß¶¡ÅàÈÙ½ÌÊÚ¾ÙÐÐÁËר·Ã¡£¡£MDlinx.com, healthcare-in-europe.com, linkedin.comµÈÊ®Óà¼ÒÍâÑóýÌåҲͬ²½¸ú½ø±¨µÀ¡£¡£

NCCN½á³¦¡¢Ö±³¦ºÍ¸Ø¹Ü°©Ö¸ÄÏר¼Ò×é³ÉÔ±¡¢Íþ˹¿µÐÁ´óѧ¿¨±¾°©Ö¢ÖÐÐÄDustin A. Deming½ÌÊÚ̸ÂÛ£¬ £¬£¬ÕâÏîÑо¿Ç¿µ÷ÁË΢ÎÀÐǸ߶Ȳ»Îȹ̽áÖ±³¦°©½ÓÊÜÃâÒß¼ì²éµãÒÖÖÆ¼ÁÖÎÁÆ¿ÉÄÜ»ñµÃÏÔÖøµÄÖÎÁÆ·´Ó³£¬ £¬£¬²¢ÇÒ¶¾ÐÔÓÐÏÞ¡£¡£ÔõÑùʹÓÃÕâЩЧ¹ûÒÔ¼°ÆäËûÒÑÍê³ÉºÍÕýÔÚ¾ÙÐеÄÑо¿£¬ £¬£¬½«¿¹PD-1ÖÎÁÆÄÉÈë¾Ö²¿ÍíÆÚ½áÖ±³¦°©µÄ±ê×¼ÖÎÁÆ£¬ £¬£¬ÊÇÒ»¼þÁîÈËÕñ·ÜµÄÊÂÇé¡£¡£

´íÅäÐÞ¸´ÂѰ×ȱÏÝ»ò΢ÎÀÐǸ߶Ȳ»Îȹ̽áÖ±³¦°©ÊÇÒ»ÖÖÌØÊâÀàÐ͵ij¦°©£¬ £¬£¬Ô¼Õ¼×ÜÌåµÄ10-15%¡£¡£ÏÖÔÚÔÚÕâÒ»ÀàÐ͵ÄÍíÆÚ³¦°©ÖУ¬ £¬£¬PD-1¿¹ÌåÒѳÉΪ±ê×¼Ò»ÏßÖÎÁÆÒ©Îï¡£¡£µ«¹ØÓÚ¾ÖÏÞÆÚÖ×Áö£¬ £¬£¬ÒòÆä¾ßÓÐÅòÕÍÐÔÉú³¤µÄÌØÕ÷£¬ £¬£¬ÁÙ´²Éϳ£ÌåÏÖΪÖ×ÁöÖØ´óºÍÇÖÕ¼ÖÜΧÔàÆ÷µÈÌØµã¡£¡£ÄÜ·ñͨ¹ýи¨ÖúÖÎÁÆËõСÖ×Áö¡¢Ìá¸ßR0ÇгýÂÊÒÔ¸ÄÉÆÉúÑÄ£¬ £¬£¬Ò»Ö±ÊÇÁÙ´²ÈÈÇйØ×¢µÄÎÊÌâ¡£¡£

¹ú¼ÊÉÏÓÐСÑù±¾Ñо¿Ì½Ë÷и¨ÖúPD-1¿¹ÌåÖÎÁÆÔÚÕâÀ೦°©ÖÐµÄ¶ÌÆÚÁÆÐ§£¬ £¬£¬Ð§¹ûÏÔʾÓÐÓÃÂʸߴï90%ÒÔÉÏ£¬ £¬£¬Áè¼Ý60%µÖ´ï²¡ÀíÍêÈ«»º½â¡£¡£µ«ÕâЩÑо¿²¡Àý½ÏÉÙ£¬ £¬£¬ÇÒȱ·¦ºã¾ÃËæ·ÃÊý¾Ý¡£¡£Ð¸¨ÖúÃâÒßÖÎÁƵĺã¾ÃÉúÑĺÍÇå¾²ÐÔÎÊÌâÈÔÓдý¸ü´óÑù±¾Ñо¿ºÍºã¾ÃËæ·ÃЧ¹ûµÄÖ§³Ö¡£¡£

Ñо¿ÍŶÓÔÚǰÆÚ½áÖ±³¦°©ÃâÒßÖÎÁÆÑо¿»ù´¡ÉÏ£¬ £¬£¬ÁªºÏÔÆÄÏÊ¡Ö×ÁöÒ½ÔºÀîÔÆ·å½ÌÊÚ¼°ÕÅÐý²©Ê¿¡¢ngµç×ÓÓÎÏ·Á¥ÊôµÚÁùҽԺФ½¡¼°²Ü̩Դ½ÌÊÚ£¬ £¬£¬ÅäºÏ¿ªÕ¹ÁËÒÔPD-1¿¹ÌåÃâÒßÖÎÁÆ×÷Ϊ´íÅäÐÞ¸´ÂѰ×ȱÏÝ»ò΢ÎÀÐǸ߶Ȳ»Îȹ̷Ç×ªÒÆÐÔ½áÖ±³¦°©Ð¸¨ÖúÖÎÁÆÊֶεĶàÖÐÐÄÕæÊµÌìÏÂÐÐÁÐÑо¿¡£¡£

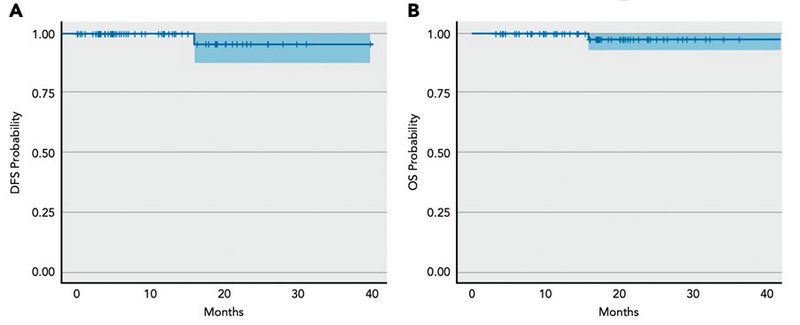
Ñо¿ÄÉÈëÁËÀ´×Ôº£ÄÚÈý¼ÒÖÐÐÄ73Ãû½ÓÊÜPD-1¿¹Ìåи¨ÖúÃâÒßÖÎÁƵĽáÖ±³¦°©»¼Õß¡£¡£Ð§¹ûÏÔʾ£¬ £¬£¬84.9%µÄ»¼Õß»ñµÃ¿Í¹Û»º½â£¬ £¬£¬ÆäÖÐ23.3%ΪÁÙ´²ÍêÈ«»º½â½ÓÄÉÊÓ²ìÆÚ´ýÕ½ÂÔ¡£¡£¼´±ã¹ØÓÚ¾Ö²¿·ÖÆÚ½ÏÍíµÄ»¼Õߣ¬ £¬£¬¿Í¹Û»º½âÂÊÒ²µÖ´ïÁË84%¡£¡£ÔÚ½ÓÊÜÊÖÊõµÄ»¼ÕßÖУ¬ £¬£¬Óнü60%µÄ»¼Õß»ñ±§²¡ÀíÍêÈ«»º½â¡£¡£Æ½¾ùËæ·ÃÁË17.2¸öÔºó£¬ £¬£¬ÖÐλÎÞ²¡ÉúÑÄÆÚ£¨DFS£©ºÍÖÐλ×ÜÉúÑÄÆÚ£¨OS£©¾ùδµÖ´ï¡£¡£ÔÚ½ÓÊÜÊÖÊõºÍµÖ´ïÍêÈ«»º½âµÄ»¼ÕßÖУ¬ £¬£¬2ÄêÖ×ÁöÌØÒìÐÔÎÞ²¡ÉúÑÄÂʺÍ×ÜÉúÑÄÂʾùΪ100%¡£¡£


8122F4CB8878CFA41B3E963782D_13C49A24_BBBA

и¨ÖúPD-1¿¹ÌåÖÎÁƵÄÖÎÁÆÁÆÐ§


F1A57A7D45EE56866D473894D4C_97B6D733_5FD8

½ÓÊÜÖ×ÁöÇгýÊÖÊõ»òµÖ´ïCRµÄ»¼ÕßµÄDFSºÍOS


¸ÃÑо¿Óë2022Äê9ÔÂESMO±¨µÀµÄNICHE-2ÆðÔ´Ñо¿Ð§¹û»ù±¾Ò»Ö£¬ £¬£¬¾ùÏÔʾPD-1¿¹Ì幨ÓÚ·Ç×ªÒÆÐÔ´íÅäÐÞ¸´ÂѰ×ȱÏÝ»ò΢ÎÀÐǸ߶Ȳ»Îȹ̽áÖ±³¦°©µÄÏÔÖøÁÆÐ§¡£¡£µ«ÓëNICHE-2Ñо¿²î±ðµÄÊÇ£¬ £¬£¬±¾Ñо¿ÖÐ80%µÄ»¼Õß½ö½öʹÓÃPD-1¿¹Ìåµ¥Ò©£¬ £¬£¬¶øÃ»ÓÐÁªºÏ¿¹CTLA-4¿¹Ì壬 £¬£¬ÌáÐѹØÓÚÕâÀ໼Õߣ¬ £¬£¬PD-1¿¹Ìåµ¥Ò©ÖÎÁÆ»òÒÑ×ã¹»µÖ´ïÀíÏëÁÆÐ§¡£¡£²»µ«ÔÆÔÆ£¬ £¬£¬ÕâÏîÑо¿Ê״ᨵÀÁËи¨ÖúÃâÒßÖÎÁƵĺã¾ÃÉúÑÄÊý¾Ý¡£¡£

Ñо¿Ð§¹ûÏÔʾ£¬ £¬£¬Ð¸¨ÖúÃâÒßÖÎÁƺó£¬ £¬£¬½ÓÊÜÖ×ÁöÇгýµÄ»¼ÕßÒÔ¼°µÖ´ïÓ°ÏñѧÍêÈ«»º½â¶ø½ÓÊÜÊÓ²ìµÄ»¼ÕßÖУ¬ £¬£¬¾ùδ·ºÆð¸´·¢×ªÒÆ¡£¡£¶øÔÚÒԹŰ廯ÁÆÒ©Îï×÷Ϊи¨Öú·½°¸µÄFOXTROTÑо¿ÖУ¬ £¬£¬¾Ö²¿ÍíÆÚ´íÅäÐÞ¸´ÂѰ×ȱÏÝ»ò΢ÎÀÐǸ߶Ȳ»Îȹ̽áÖ±³¦°©ÎÞÂÛÖ±½ÓÊÖÊõ»ò½ÓÊÜи¨Öú»¯ÁÆ£¬ £¬£¬Êõºó¸´·¢×ªÒÆÂʾù´ï15%¡£¡£Òò´Ë£¬ £¬£¬Ð¸¨ÖúÃâÒßÖÎÁƲ»µ«¿ÉÒÔ½µµÍÖ×Áö·ÖÆÚ£¬ £¬£¬²¢ÇÒ¿ÉÒÔ½µµÍ¸´·¢×ªÒÆÂÊ£¬ £¬£¬¸ÄÉÆºã¾ÃÉúÑÄ¡£¡£

ngµç×ÓÓÎÏ·Ö×Áö·ÀÖÎÖÐÐĶ¡ÅàÈÙ½ÌÊÚÊÇÂÛÎÄͨѶ×÷Õߣ¬ £¬£¬½áÖ±³¦¿ÆÅËÖ¾ÖÒ½ÌÊÚ¡¢ÉúÎïÖÎÁÆÖÐÐÄÕÅÏþʵ½ÌÊÚµÈÊÇÅäºÏͨѶ×÷Õߣ¬ £¬£¬½áÖ±³¦¿ÆÐ¤±óÒ㲩ʿÊǵÚÒ»×÷Õß¡£¡£

ÂÛÎÄÁ´½Ó£º£ºhttps://jnccn.org/view/journals/jnccn/21/1/article-p60.xml

ר·ÃÁ´½Ó£º£ºhttps://www.nccn.org/home/news/newsdetails?NewsId=3596

¡¾ÍøÕ¾µØÍ¼¡¿