ngµç×ÓÓÎÏ·ÐÂÎÅÍøÑ¶£¨Í¨Ñ¶Ô±µËΰÃñ£©ngµç×ÓÓÎÏ·ÎïÀíѧԺ¡¢¡¢¡¢¹âµçÖÊÁÏÓëÊÖÒÕ¹ú¼ÒÖØµãʵÑéÊÒ¶½¨ÎĽÌÊÚÑо¿ÍŶÓÓüòÆÓµÄÈ«½éÖÊһά¹â×Ó¾§ÌåʵÏÖÁËÖØ´óµÄ½ÚÏß»·¼ò²¢ºÍÄܼ¹Ì¬£¬²¢ÊµÑé֤ʵÁËÄܼ¹¹â×Ó¾§Ìå´øÏ¶ÖеÄÍâò̬¡£¡£¸ÃÊÂÇéÒÔ¡°Ideal Nodal Rings of One-Dimensional Photonic Crystals in the Visible Region¡±ÎªÌ⣬ÓÚ2022Äê5ÔÂ12ÈÕ½ÒÏþÔÚ¹âѧÁìÓò¸ßˮƽÆÚ¿¯Light: Science & ApplicationsÉÏ¡£¡£
¹âѧµÒÀ¿Ë×¶ÊÇÒ»ÖÖÌØÊâµÄÏßÐÔÄÜ´ø¼ò²¢Ì¬£¬ÆÕ±é±£´æÓÚÖÖÖÖ¶þά¹â×Ó¾§ÌåÖС£¡£Í¨¹ýÒýÈë¿Õ¼ä·´ÑݶԳÆÐÔÆÆÈ±£¬¹âѧµÒÀ¿Ë×¶»á±¬·¢Í˼ò²¢´Ó¶ø¹ý¶ÉÖÁÄܹÈ̬¡£¡£Ïà¶ÔÓ¦µÄ£¬¹âѧ½ÚÏß»·ÊÇÒ»ÖÖ±£´æÓÚÈýάϵͳµÄÄÜ´ø¼ò²¢Ì¬£¬ËüÔÚÄÜ´øÖÐÌåÏÖΪһ¸ö±ÕºÏµÄÔ²»·¡£¡£Í¨¹ýÒýÈë¶Ô³ÆÐÔÆÆÈ±£¬½ÚÏß»·¿ÉÒÔ¹ý¶ÉÖÁÄܼ¹Ì¬¡£¡£Äܼ¹Ì¬¾ßÓи»ºñµÄ¹âѧÐÐΪ£¬Èçµç´Å²¨¸ºÕÛÉä¡¢¡¢¡¢Íâò½á¹¹ÒÀÀµµÄ¹Å˹¨CººÉÎ»ÒÆµÈ¡£¡£È»¶ø£¬ÖØ´óµÄÈýά½á¹¹µ¹ÔËÓÚÉÏÊöÐÐΪÔÚ¸ü¸ß¹âƵ¶ÎʵÏÖ£¬ÉõÖÁ½øÒ»²½»ñµÃÐÂÐ͹¦Ð§ÐÔ¹â×ÓÆ÷¼þ¡£¡£Îª´Ë£¬ÔõÑùÓüòÆÓµÄ¹âѧ½á¹¹À´ÊµÏÖÄܼ¹Ì¬£¬³ÉΪ¸ÃÁìÓòÆÈÇÐÐèÒª½â¾öµÄÎÊÌâ¡£¡£
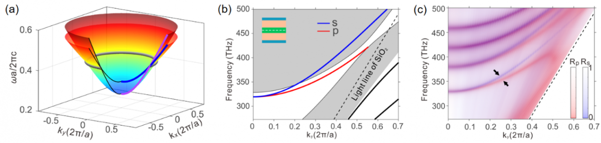
Õë¶ÔÉÏÊöÎÊÌ⣬Ñо¿ÍŶӴ´Á¢ÐԵؽ«Ò»Î¬¹â×Ó¾§Ìå·ÇÖÜÆÚÆ«ÏòµÄ¶¯Á¿Ë¼Á¿½øÀ´£¬ÇÉÃîµØÊ¹ÓÃÃæÄÚµÄÐýת¶Ô³ÆÐÔ£¬×îÖÕÉè¼Æ³öÀíÏëµÄ½ÚÏß»·ÄÜ´ø¡£¡£Ñо¿ÍŶÓʹÓõç¸ÐñîºÏµÈÀë×ÓÌåÔöÇ¿»¯Ñ§ÆøÏà³Á»ýÒªÁ죨ICP-CVD£©ÖƱ¸ÁËÑùÆ·£¬ÕÉÁ¿³ö500-1100 nm²¨¶ÎµÄ½Ç·Ö±æ·´ÉäÆ×£¬Ö¤ÊµÁ˽ÚÏß»·µÄ±£´æ¡£¡£½øÒ»²½£¬Ñо¿ÍŶÓÍ»ÆÆ¹â×Ó¾§ÌåµÄ¿Õ¼ä·´ÑݶԳÆÐÔ£¬Ê¹µÃ½ÚÏß»·¼ò²¢¹ý¶Éµ½ÓдøÏ¶µÄÄܼ¹Ì¬£¬²¢Í¨¹ýÅÌËãÍØÆËÎȹÌÁ¿Ô¤ÑԸôøÏ¶Öб£´æÊÜÍØÆË±£»¤µÄ½çÃæÌ¬¡£¡£Á¬ÏµÇ°ÆÚ¿ª·¢µÄµÍÏûºÄ¸»¹èµª»¯¹è±¡Ä¤Éú³¤¹¤ÒÕ£¬Ñо¿ÍŶÓÖÆ±¸³öÑùÆ·£¬²¢ÕÉÁ¿600-1100 nm²¨¶ÎµÄ½Ç·Ö±æ·´ÉäÆ×£¬ÔÚʵÑéÉÏÊӲ쵽½çÃæÌ¬¡£¡£±ðµÄ£¬Ñо¿ÍŶӻ¹·¢Ã÷½ÚÏß»·ºÍ¹âѧTamm̬֮¼ä±£´æÇ×½üµÄÁªÏµ¡£¡£¹âѧTamm̬ÊÇÔÚһά¹â×Ó¾§ÌåºÍ½ðÊôµÄ½çÃæ´¦¿ÉÄܱ£´æµÄÒ»ÖÖÍâò̬¡£¡£Ñо¿ÍŶӷ¢Ã÷½ðÊôºÍ½ÚÏß»·¹â×Ó¾§ÌåµÄ½çÃæ´¦±Ø¶¨»á±£´æ¹âѧTamm̬£¬¸Ã½áÂÛΪȷ¶¨ÐÔÖ¸³ö²¢Éè¼Æ¹âѧTamm̬ÌṩÁËÀíÂÛÖ¸µ¼¡£¡£Ñо¿ÍŶÓʹÓõç×ÓÊøÕô·¢ÒªÁìÔÚһά½ÚÏß»·¹â×Ó¾§ÌåÍâò¶ÆÉÏÒ»²ãÒøÄ¤£¬Í¨¹ýÕÉÁ¿600-1000 nm²¨¶ÎµÄ½Ç·Ö±æ·´ÉäÆ×֤ʵÁ˹âѧTamm̬µÄ±£´æ¡£¡£
¸ÃÊÂÇéΪÔÚ¹âѧ²¨¶ÎʵÏÖÍâò̬µÄ¸ºÕÛÉä¡¢¡¢¡¢Íâò½á¹¹ÒÀÀµµÄ¹Å˹¨CººÉÎ»ÒÆµÈ¹âѧÕ÷ÏóÌṩÁË»ù´¡¡£¡£±ðµÄ£¬Í¨¹ýÒýÈëÆäËûÀàÐ͵ĶԳÆÐÔÆÆÈ±£¬½ÚÏß»·Ò²¿ÉÒÔ¹ý¶ÉÖÁÍâ¶ûµã¼ò²¢¡£¡£Òò´Ë£¬¸ÃÊÂÇéҲΪ̽Ë÷Íâ¶ûµã¼°ÆäÏà¹ØµÄÍØÆËÍâò̬ÔÚ΢ÄɹâѧÖеÄÓ¦ÓÃÌṩÁË¿ÉÄÜ¡£¡£

(a)½ÚÏß»·¼ò²¢ÄÜ´øÍ¼£»(b)ºÍ(c)£º½ÚÏß»·½â¼ò²¢ºó´øÏ¶ÖÐÍâò̬ɫɢÇúÏßµÄ(b)Ä£ÄâºÍ(c)ʵÑéÕÉÁ¿Ð§¹û
¸ÃÊÂÇéÓÉngµç×ÓÓÎÏ·×ÔÁ¦Íê³É£¨Î¨Ò»ÊðÃûµ¥Î»£©£¬µËΰÃñ²©Ê¿ºóΪµÚÒ»×÷Õߣ¬³ÂÎĽܽÌÊںͶ½¨ÎĽÌÊÚΪÅäºÏͨѶ×÷Õß¡£¡£ÉÏÊöÊÂÇé»ñµÃÁ˹ú¼Ò×ÔÈ»¿ÆÑ§»ù½ðÖØµãÏîÄ¿¡¢¡¢¡¢¹ã¶«Ê¡½ÜÇàµÈÊ¡ÊÐÏîÄ¿£¬ÒÔ¼°¹âµçÖÊÁÏÓëÊÖÒÕ¹ú¼ÒÖØµãʵÑéÊÒºÍÎïÀíѧԺµÄ´óÁ¦Ö§³Ö¡£¡£
ÂÛÎÄÁ´½Ó£ºhttps://www.nature.com/articles/s41377-022-00821-9