¿ª·¢ÐµÄÊÖÐÔÅäÌåºÍ´ß»¯¼ÁÊÇ²î³Ø³Æ´ß»¯ÁìÓòÓÀºãµÄ¿ÎÌâ¡£ÖÚËùÖÜÖª£¬£¬£¬ÊÖÐÔ»·Îì¶þÏ© (Cp) ÅäÌåÔÚ¹ý¶É½ðÊô´ß»¯µÄ²î³Ø³ÆÌ¼Çâ¼ü»î»¯·´Ó³Ñо¿ÖÐÕ¼ÓÐ×ÅÖ÷Ҫְλ¡£Èçͼ1Ëùʾ£¬£¬£¬¾¿ÆÑ§¼ÒµÄ²»Ð¸Æð¾¢£¬£¬£¬ÏÖÔÚÒÑÀֳɿª·¢³ö¼¸ÀàÊÖÐÔCpÅäÌ塣Ȼ¶ø£¬£¬£¬Ëæ×Å²î³Ø³ÆÌ¼Çâ»î»¯·´Ó³Ñо¿µÄÅ¿ªÕ¹£¬£¬£¬ÏÔÈ»ÕâÓÐÏ޵ļ¸ÖÖCpÅäÌåºÜÄÑÖª×ã¿ÆÑ§¼ÒÃǸ»ºñµÄ¿ÆÑÐÐèÇó¡£

ͼ1 Ó¦ÓÃÓÚ²î³Ø³ÆÌ¼Çâ»î»¯µÄ¼¸ÖÖÊÖÐÔCpÅäÌå
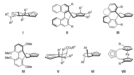
ÎÒУ»¯Ñ§Ñ§ÔºÍô¾ý½ÌÊÚ×Ô×ÔÁ¦¿ªÕ¹Ñо¿ÊÂÇéÒÔÀ´£¬£¬£¬Ò»Ö±ÖÂÁ¦ÓÚ²î³Ø³Æ¶èÐÔ̼Çâ¼ü»î»¯·´Ó³Ñо¿¡£½üÄêÀ´£¬£¬£¬Ê¹ÓÃÊÖÐÔÁªÝÁCpÅäÌåIIºÍÊÖÐÔÂÝ»·ÅäÌåIIIʵÏÖÁËһϵÁÐ²î³Ø³ÆÌ¼Çâ¼ü»î»¯·´Ó³£¨Angew. Chem. Int. Ed. 2019, 58, 6732£»Angew. Chem. Int. Ed. 2018, 57, 4048£»Org. Lett. 2020, 22, 3586£»Org. Lett. 2020, 22, 3219£©¡£ÁíÍ⣬£¬£¬ËûÃDZ¨µÀÁËÒ»ÖÖ»ùÓÚÊÖÐÔ¶þïÌú¹Ç¼ÜµÄCpÅäÌåVII£¬£¬£¬²¢½«ÆäÓ¦ÓÃÓÚ´ß»¯²î³Ø³ÆC?H ¼ü»î»¯·´Ó³ÖУ¨Chem.¡ªEur. J. 2020, doi: 10.1002/chem.202001814£©¡£»ùÓÚÒÔÉÏÑо¿ÊÂÇé»ù´¡£¬£¬£¬¿ËÈÕ£¬£¬£¬Íô¾ý¿ÎÌâ×éÐû²¼ÁËÒ»ÀàÊÖÐÔ[2.2.2]ÇÅ»·»·Îì¶þÏ©îCpRh£©´ß»¯¼Á£¬£¬£¬²¢½«ÆäÀÖ³ÉÓ¦ÓÃÓÚ²î³Ø³ÆÌ¼Çâ»î»¯·´Ó³£¬£¬£¬ÒԸ߶ÔӳѡÔñÐԺϳÉÁ˶àÖÖÊÖÐÔÇ⻯·Æà¤ÍªÀ໯ºÏÎï (ͼ2-3)¡£¸ÃЧ¹ûÊÇÊ×Àý½«ÊÖÐÔÇÅ»·CpRhÂçºÏÎïÓ¦ÓÃÓÚ²î³Ø³ÆÌ¼Çâ»î»¯·´Ó³µÄ±¨µÀ£¬£¬£¬Í¬Ê±Ò²Îª²î³Ø³ÆÌ¼Çâ»î»¯ÌṩÁËеĴ߻¯¼ÁÑ¡Ôñ¡£
ÊÖÐÔ[2.2.2]ÇÅ»·CpÅäÌå×îÔçÓÉHaltermanºÍVollhardtÓÚ1987Ä걨µÀ£¬£¬£¬µ«Òź¶µÄÊÇ£¬£¬£¬¸ÃÀàCpÅäÌåÒ»Ö±¶¼Ã»ÓÐÒýÆðÈËÃǵĹØ×¢£¬£¬£¬ÆäÔÚ²î³Ø³Æ´ß»¯·´Ó³ÖеÄÓ¦ÓÃÒ²»ù±¾ÊÇһƬ¿Õȱ¡£¿ËÈÕ£¬£¬£¬Íô¾ý¿ÎÌâ×éͨ¹ý²Î¿¼²¢ÓÅ»¯HaltermanµÄºÏ³ÉÒªÁ죬£¬£¬´Ó1£¬£¬£¬4¶þÍé»ùÈ¡´ú±½³ö·¢£¬£¬£¬¾ÓÉ5²½ºÏ³ÉÁËÈýÖÖ¹âѧ´¿µÄÊÖÐÔCpÅäÌ壬£¬£¬²¢ÀÖ³ÉÖÆ±¸ÁËÏìÓ¦µÄÊÖÐÔCpRh(I) ÂçºÏÎï (ͼ2)¡£ÆäÖУ¬£¬£¬»·¼º»ùÈ¡´úµÄÂçºÏÎï Rh-1µÄ½á¹¹Í¨¹ýµ¥¾§X-ÉäÏßÑÜÉä»ñµÃÈ·ÈÏ¡£ÓÐȤµÄÊÇ£¬£¬£¬µ±ÓëÊÖÐÔÁªÝÁCpRhºÍÂÝ»·CpRhÂçºÏÎïµÄµ¥¾§½á¹¹¾ÙÐбÈÕÕʱ£¬£¬£¬·¢Ã÷ÇÅ»·CpRhµÄ ¡°side wall¡±¡ª¡ª»·¼º»ùÔÚÊúֱƫÏòÔ½·¢ÊæÕ¹£¬£¬£¬¶øÔÚˮƽƫÏò½ÏΪ½ô´Õ¡£ÁíÍ⣬£¬£¬µ¥¾§Êý¾Ý»¹Åú×¢¸Ã´ß»¯¼ÁµÄ¡°side wall¡±¸ü¿¿½üÖÐÐĽðÊô¡£´ß»¯¼ÁµÄÕâЩ½á¹¹ÌصãԤʾ×ÅÆä¿ÉÄܾßÓÐÆæÒìµÄ´ß»¯ÐÔÄÜ¡£

ͼ2ÊÖÐÔÇÅ»·CpRh(I)ÂçºÏÎïµÄºÏ³É¼°Æäµ¥¾§½á¹¹
֮ǰÍô¾ý¿ÎÌâ×éÔø½ÒÏþ¹ýÒ»ÀýÊÖÐÔÂÝ»·CpRh´ß»¯µÄN-¼×Ñõ»ù±½¼×õ£°·Óëõ«µÄ²î³Ø³ÆC?H¼ü»î»¯·´Ó³¡£Ö»¹ÜËûÃǶԸ÷´Ó³¿ªÕ¹ÁËÏ꾡µÄÌõ¼þÓÅ»¯£¬£¬£¬µ«ÖÕδÄÜ»ñµÃÀíÏëµÄ¶ÔӳѡÔñÐÔ£¬£¬£¬¹ØÓÚ±ê×¼·´Ó³Ö»»ñµÃ85?£¬£¬£¬¶ø¹ØÓÚÆäËü´ó´ó¶¼µ×ÎïÒ²Ö»ÄÜ»ñµÃСÓÚ90?£¨Org. Lett. 2020, 22, 3219£©¡£¿ÉϲµÄÊÇ£¬£¬£¬µ±Ê¹ÓÃÊÖÐÔÇÅ»·CpRh´ß»¯¼ÁRh-1ʱ£¬£¬£¬¿ÉÒÔ»ñµÃÓÅÒìµÄ¶ÔӳѡÔñÐÔ£¨Í¼3£©£¬£¬£¬ÌåÏÖ³ö¸ÃÀàÇÅ»·Cp´ß»¯¼ÁÔÚ²î³Ø³ÆÌ¼Çâ¼ü»î»¯ÖоßÓнϴóµÄÓ¦ÓÃDZÁ¦¡£

ͼ3ÊÖÐÔÇÅ»·CpRh´ß»¯¼ÁÔÚ²î³Ø³ÆÌ¼Çâ¼ü»î»¯ÖеÄÓ¦ÓÃ
¸ÃЧ¹û½üÆÚ½ÒÏþÔÚ»¯Ñ§TopÆÚ¿¯Angewandte Chemie International Edition¡£ÂÛÎĵÚÒ»×÷ÕßÊÇngµç×ÓÓÎÏ·»¯Ñ§Ñ§Ôº2016¼¶²©Ê¿ÉúÀî¹úÖù£¬£¬£¬Í¨Ñ¶×÷ÕßΪngµç×ÓÓÎÏ·»¯Ñ§Ñ§ÔºÍô¾ý½ÌÊÚ¡£¸ÃÑо¿»ñµÃÁ˹ú¼Ò×ÔÈ»¿ÆÑ§»ù½ðµÄÖ§³Ö¡£ÂÛÎÄÍêÕûÐÅϢΪ£º£ºGuozhu Li (Àî¹úÖù)£¬£¬£¬Xiaoqiang Yan (ãÆÏþÇ¿)£¬£¬£¬Jijun Jiang (½¼Ì¾ü)£¬£¬£¬Hao Liang (Áºê»)£¬£¬£¬Chao Zhou (Öܳ¬)£¬£¬£¬Jun Wang (Íô¾ý)*£¬£¬£¬Chiral Bicyclo[2.2.2]octane-Fused CpRh Complexes: Synthesis and Potential Use in Asymmetric C?H Activation, Angew. Chem. Int. Ed. 2020, doi: 10.1002/anie.202010489¡£
ÂÛÎÄÁ´½Ó£º£ºhttps://onlinelibrary.wiley.com/doi/10.1002/anie.202010489