ngµç×ÓÓÎÏ·ÐÂÎÅÍøÑ¶ ½ø»¯ÒÅ´«Ñ§ÖеÄÒ»¸öÖøÃûÕùÒéÊÇ£¬£¬£¬ÊÇ·ñÐèҪͨ¹ý¼ÁÁ¿Åâ³¥À´½â¾öXȾɫÌåºÍ³£È¾É«ÌåÖ®¼äµÄ»ùÒò¼ÁÁ¿£¨X:AA£©²»Æ½ºâÎÊÌâ¡£¡£¡£¡£¡£ScRNA-seqÊý¾Ý¿ÉÒÔ´Óµ¥Ï¸°ûˮƽÉîÈëµØÏàʶÕâ¸öÎÊÌâ¡£¡£¡£¡£¡£È»¶ø£¬£¬£¬¾ÙÐÐÆÊÎö֮ǰ£¬£¬£¬±ØÐè×ÐϸÆÀ¹ÀscRNA-seqµÄ¹ÌÓÐÌØÕ÷£¨ÀýÈçÏ£º±ÐԵȣ©ÊÇ·ñ»áʹ²¸È鶯ÎïµÄX:AA±í´ï±ÈÂʱ¬·¢Îó²î¡£¡£¡£¡£¡£
¿ËÈÕ£¬£¬£¬ngµç×ÓÓÎÏ·ÖÐɽҽѧԺ³ÂÐ¡Êæ½ÌÊÚÍŶÓÔÚMolecular Biology and EvolutionÔÚÏß½ÒÏþÌâΪ¡±Human single-cell RNA-sequencing data supports the hypothesis of X chromosome insensitivity but is ineffective in testing the dosage compensation model¡±µÄÑо¿ÂÛÎÄ£¬£¬£¬¶ÔscRNA-seqµÄ¹ÌÓÐÌØÕ÷¾ÙÐÐÁËÖÜÈ«µÄÑо¿£¬£¬£¬ÒÔÕ¹ÏÖÆäÄÜ·ñ׼ȷĥÁ·¼ÁÁ¿Å⳥ģ×Ó¡£¡£¡£¡£¡£
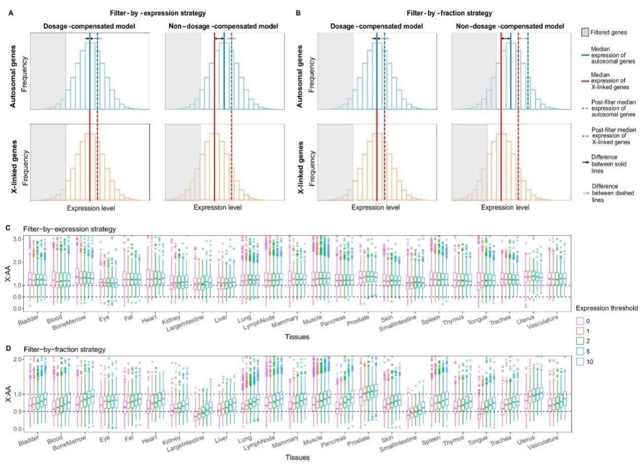
Ñо¿Ö°Ô±Ê×ÏÈʹÓÃÄ£ÄâscRNA-seqºÍbulk RNA-seqÊý¾Ý¼¯ÆÀ¹ÀÁËÁ½ÖÖ³£¼ûµÄX:AA»ùÒòÑ¡ÔñÕ½ÂÔ£¬£¬£¬¼´°´»ùÒò±í´ïˮƽ¹ýÂ˺Ͱ´»ùÒò±í´ï±ÈÀý¹ýÂË¡£¡£¡£¡£¡£ËûÃÇ·¢Ã÷ÕâÁ½ÖÖÕ½ÂÔ¶¼»á±¬·¢Ç¿µ÷µÄX:AA±í´ï±ÈÂÊ£¬£¬£¬´Ó¶øÈËΪµØÖ§³Ö¼ÁÁ¿Å⳥ģ×Ó¡£¡£¡£¡£¡£

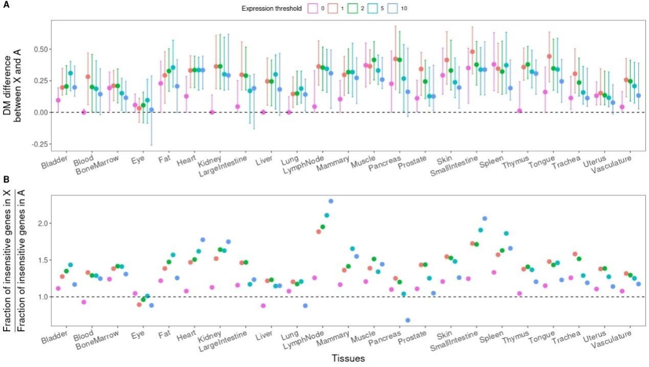
±ðµÄ£¬£¬£¬Ö»¹Üƽ¾ù±í´ïˮƽ±£´æÎó²î£¬£¬£¬µ«Ñо¿Ö°Ô±·¢Ã÷scRNA-seqÊý¾Ý¿ÉÓÃÓÚ¼ì²âСÖÁ10%µÄXȾɫÌåÓ볣ȾɫÌåµÄ±í´ïÔëÉùµÄ²î±ð£¬£¬£¬´Ó¶øÄܹ»Ñо¿¶Ô»ùÒò¼ÁÁ¿×ª±äØÔ²»Ãô¸ÐµÄ»ùÒòÂþÑÜ¡£¡£¡£¡£¡£¶ÔSmart-seq2Êý¾ÝµÄÆÊÎöÏÔʾ£¬£¬£¬Ó볣ȾɫÌåÏà±È£¬£¬£¬XȾɫÌåµÄ±í´ïÔëÉùÔöÌíÁË10-15%£¬£¬£¬XȾɫÌåÉϼÁÁ¿Ãô¸Ð»ùÒòÏÔÖøïÔÌ¡£¡£¡£¡£¡£

×ÜÌå¶øÑÔ£¬£¬£¬ÕâЩЧ¹ûÇ¿µ÷ÁËÔÚÚ¹ÊÍscRNA-seqÊý¾ÝʱÐèÒªºÜÊÇÉóÉ÷£¬£¬£¬ÌØÊâÊÇÔÚ½ÏÁ¿²î±ð»ùÒòµÄ±í´ïˮƽʱ£¬£¬£¬²¢ÎªXȾɫÌå²»Ãô¸ÐµÄ¼ÙÉèÌṩÁËÌØÁíÍâÖ¤¾Ý¡£¡£¡£¡£¡£
ngµç×ÓÓÎÏ·³ÂÐ¡Êæ½ÌÊÚÊǸÃÎÄÕµÄΨһͨѶ×÷Õߣ¬£¬£¬ÍŶӳÉÔ±22¼¶²©Ê¿Ñо¿Éú³Â¼ÒèµÊǸÃÎÄÕµÄΨһµÚÒ»×÷Õß¡£¡£¡£¡£¡£
ÔÎÄÁ´½Ó£º£º£ºhttps://doi.org/10.1093/molbev/msaf004