ngµç×ÓÓÎÏ·ÐÂÎÅÍøÑ¶£¨Í¨Ñ¶Ô±ÐÜÀöÄÈ£©ÎïÖÖÔÚµØÇòÍâòµÄ²»Æ½ºâÂþÑÜ£¬£¬£¬ÊÇÉúÎïµØÀíѧ¼°Éú̬ѧÑо¿µÄÖ÷ÒªÄÚÈÝ¡£¡£¡£ÔçÔں鱤ʱ´ú£¬£¬£¬¾ÍÒѾ·¢Ã÷ÈÈ´øÉ½µØÓÐ׿«¸ßµÄÎïÖÖ¶àÑùÐÔ£¬£¬£¬ÆÊÎöɽµØÖ²ÎïÇøÏµµÄ³ÉÒò¶ÔÃ÷È·ÎïÖÖÐγɼ°ÉúÎï¶àÑùÐԵĿÆÑ§±£»¤ÓÐÖ÷ÒªÒâÒ壬£¬£¬½üÁ½¸öÊÀ¼ÍÒÔÀ´ÎüÒýÁË´óÅúÉúÎïµØÀíѧ¼Ò¡¢¡¢Éú̬ѧ¼ÒͶÈëÑо¿£¬£¬£¬ÓÈÆäÊÇͨ¹ýÇøÓòÖ²Îï¶àÑùÐÔºÍϵͳ·¢ÓýÑо¿£¬£¬£¬ÒÔ¼°ÓëÌìÆøÒò×Ó¡¢¡¢Éú̬Òò×Ó¡¢¡¢µØÀíÒò×ӵȵÄñîºÏÑо¿£¬£¬£¬È¡µÃÐí¶àеÄÏ£Íû£¬£¬£¬½ø¶øÐγÉÁËÒ»¸ö½ÏΪÃ÷È·µÄ¿´·¨£¬£¬£¬¼´ÆÕ±éÒÔΪ¡°ÉúÎïÀú³Ì¡¢¡¢Éú̬Àú³Ì¡¢¡¢µØÖÊÀú³Ì¡±ÅäºÏÍÆ¶¯ºÍÔö½øÁËɽµØÉúÎï¶àÑùÐÔµÄÐγɡ£¡£¡£É½µØ±»ÒÔΪÊÇÎïÖÖ¶àÑùÐÔµÄÒ¡ÀººÍ²©Îï¹Ý£¬£¬£¬²¢ÇÒɽµØÔÚµØÃ²ÑݱäÀú³ÌÖÐÔö½øÁËÉú¾³¶àÑùÐԺͲî±ðÉú̬λµÄ±¬·¢£¬£¬£¬´Ó¶øÓ°Ïì×ÅɽµØÄÚÎïÖֵķֻ¯¡¢¡¢Ç¨áã»òÃð¾ø¡£¡£¡£ÏÖÔÚ£¬£¬£¬¹ØÓÚµØÖÊÀú³ÌÔõÑùÓ°ÏìÉúÎï¶àÑùÐÔÑݱäµÄÑо¿Ïà¶Ô½ÏÉÙ£¬£¬£¬ÓÈÆäÊÇÒÔµ¥¸ö¡°ÇøÏµ¡±Îªµ¥Î»Ì½ÌÖµØÖÊÀú³ÌµÄÆæÒìТ˳µÄÑо¿½ÏÉÙ¡£¡£¡£
ngµç×ÓÓÎÏ·Ö²Îï·ÖÀàѧÓëÇøÏµµØÀíѧ¿ÎÌâ×飬£¬£¬»ùÓÚǰÆÚÔÚÎÒ¹ú¹ã¶«¡¢¡¢¹ãÎ÷¡¢¡¢½Î÷¡¢¡¢ºþÄÏ¡¢¡¢ÉÂÎ÷¡¢¡¢ÄþÏÄ¡¢¡¢ÄÚÃɹŵȶദ×ÔÈ»±£»¤µØµÄÒ°Í⿼²ì£¬£¬£¬Á¬ÏµÌì϶ÔɽµØÇøÏµµÄÑо¿£¬£¬£¬·¢Ã÷²î±ðµØÃ²ÀàÐ͵ÄɽµØÖ®¼äÆäÖ²ÎïÇøÏµ×é³É±£´æ²î±ð£¬£¬£¬Ìá³öÁË¡°»ùÑÒÇÖÊ´-µØÃ²ÐγÉ-ÎïÖÖ·Ö»¯¡±µÄÑݱä¿ò¼Ü£¨Í¼1£©£¬£¬£¬ÒÔ¡°Ïà¶Ô×ÔÁ¦µ¥¸öɽµØÇøÏµÎªµ¥Î»¡±£¬£¬£¬¶ÔɽµØÇøÏµÑݱäÓë»ùÑÒÇÖÊ´¡¢¡¢µØÃ²Ðγɡ¢¡¢ÌìÆøÒò×ÓñîºÏ¹ØÏµµÈ¾ÙÐÐÁËÑо¿¡£¡£¡£

ͼ1 µØÃ²ÓëÑÒÐÔÖÆÔ¼ÏÂɽµØÖ²ÎïÇøÏµÈº¼¯ºÍ·Ö»¯¿ò¼Üͼ
£¨a. °å¿éÔ˶¯, µ¼Öº£Ïà³Á»ý̧Éý(i-iii)¡¢¡¢ÇÖÈëÐÔ»¨¸ÚÑÒ̧Éý(iv)¡¢¡¢½ÏÍíµÄ½Ïà³Á»ý̧Éý(v); b.»ùÑҵزãÒòÇÖÊ´¶øÐγɲî±ðÀàÐ͵ĵØÃ²(vi-x); c. ÑÒÐÔ·Ö»¯ºÍµØÃ²ÐγÉÔö½øÁËÆ«ºÃÖ²ÎïµÄ¼ÙÔ¢ºÍ¶àÑù»¯£¬£¬£¬ÐγÉרÐÔÇøÏµ¡£¡£¡£»ÄÔµØÃ²(vi)ÇøÏµÒÔÍÕÌã°êÊôZygophyllumºÍ½õ¼¦¶ùÊôCaraganaµÈΪ´ú±í; ¿¦Ë¹×¨³Ìò(vii)ÒÔò¹Ä¾Êô¡¢¡¢ÇﺣÌÄÊôµÈΪ´ú±í; »ìºÍµØÃ²(viii)ÒÔÇʱúľÊôTorricelliaºÍçîÍ©ÊôDavidiaµÈΪ´ú±í; »¨¸ÚÑÒµØÃ²(ix)ÒÔÇà¸ÔÊô¡¢¡¢¶Å¾éÊôµÈΪ´ú±í; µ¤Ï¼µØÃ²(x)ÒÔÎàÍ©ÊôFirmiana¡¢¡¢±¨´ºÜÄ̦ÊôPrimulinaµÈ£©
¿ÎÌâ×é±à¼ÁËÖйú140¸öÖ÷ҪɽµØµÄ±»×ÓÖ²ÎïÇøÏµÊý¾Ý¼¯£¬£¬£¬º¬56Ä¿251¿Æ2585Êô17,837ÖÖ£¬£¬£¬ÌìÉúϵͳ·¢ÓýÊ÷£»²¢½¨ÉèÁËÕâЩɽµØµÄÌìÆøÒò×Ó¡¢¡¢µØÖʵØÃ²µÈÊý¾Ý¼¯£¬£¬£¬Æ¾Ö¤»ùÑÒ×é³É½«140¸öɽµØ»®·ÖΪÎåÖÖµØÃ²ÀàÐÍ£¬£¬£¬¼´: ¿¦Ë¹ÌØ¡¢¡¢»¨¸ÚÑÒ-¿¦Ë¹ÌØ¡¢¡¢»¨¸ÚÑÒ¡¢¡¢µ¤Ï¼µØÃ²ºÍ»ÄÔµØÃ²£¨Í¼2£©¡£¡£¡£Í¨¹ýñîºÏµØÃ²ÀàÐÍ¡¢¡¢ÌìÆøÒò×Ó¡¢¡¢µØÀíÐÅÏ¢µÈ£¬£¬£¬Ì½ÌÖ²î±ðµØÃ²ÀàÐÍÓëɽµØÖ²ÎïÇøÏµÎïÖÖ¸»ºñ¶È¡¢¡¢ÏµÍ³·¢Óý¶àÑùÐÔ£¨PD£©¡¢¡¢ÏµÍ³·¢Óý½á¹¹Ö¸Êý£¨PDI¡¢¡¢NRI¡¢¡¢NTI£©ºÍÇøÏµÎïÖÖ×é³ÉµÄÄêËê½á¹¹£¨MDT£©µÄÖ®¼ä²î±ð£¬£¬£¬´Ó¶øÕ¹ÏÖµØÃ²Àú³ÌÔõÑùÔö½ø¶ÔɽµØÖ²ÎïÇøÏµÈº¼¯ºÍ·Ö»¯µÄÓ°Ïì¡£¡£¡£

ͼ2 Öйú140¸öɽµØµÄÂþÑÜ¡¢¡¢±»×ÓÖ²ÎïÇøÏµÎïÖÖÊýÄ¿¼°ÏµÍ³·¢Óý¹ØÏµ
£¨a. 140´¦É½µØÂþÑÜͼ; b. ÎåÖÖµØÃ²ÀàÐÍÇøÏµ×é³É½ÏÁ¿, ×ÔÏÂÍùÉÏ: »ÄÔµØÃ²13´¦, µ¤Ï¼10´¦, »¨¸ÚÑÒ84´¦, »ìºÍÐÍ14´¦; ¿¦Ë¹ÌØ19´¦; c. »ùÓÚAPG ¢ôµÄ±»×ÓÖ²ÎïϵͳÊ÷(°´ÄæÊ±Õë: ÐþÉ«, ANITA; dzÀ¶£¬£¬£¬Magnoliids; À¶É«, Ʊ¾ÝÒ¶Àà; ³ÈÉ«, ÕæË«×ÓÒ¶Àà»ù²¿Èº; ÂÌÉ«, Superrosids; ×ÏÉ«, Supersterids; ÓÃGBOTB¹ÀËã·Ö֧ʱ¼ä)
Ñо¿Ð§¹ûÏÔʾ£¬£¬£¬»¨¸ÚÑÒµØÃ²¡¢¡¢¿¦Ë¹ÌØ-»¨¸ÚÑÒ»ìÏýµØÃ²£¬£¬£¬ÆäɽµØÇøÏµ¾ßÓнϸߵÄÎïÖÖ¸»ºñ¶ÈºÍϵͳ·¢Óý¶àÑùÐÔ£¨Í¼3-a£©£¬£¬£¬ÇÒϵͳ·¢Óý½á¹¹Îª·¢É¢ÐÍ£¨Í¼3-c£©£»¶ø¿¦Ë¹×¨³Ìò¡¢¡¢µ¤Ï¼µØÃ²¡¢¡¢»ÄÔµØÃ²£¬£¬£¬ÆäɽµØÇøÏµÎïÖÖ¸»ºñ¶È½ÏµÍ£¨Í¼3-a£©£¬£¬£¬ÇÒϵͳ·¢Óý½á¹¹ÎªÈº¼¯ÐÍ£¨Í¼3-c£©¡£¡£¡£Í¬Ê±£¬£¬£¬¿¦Ë¹ÌØ£¨Ê¯»ÒÑÒ£©É½µØÇøÏµµÄƽ¾ùÎïÖÖ·Ö»¯ÄêËêÔÚ5ÀàµØÃ²ÀàÐÍÖÐÊÇ×î¸ßµÄ¡£¡£¡£

ͼ3 ÎåÀàµØÃ²ÀàÐÍÓëɽµØÖ²ÎïÇøÏµ¸»ºñ¶È¡¢¡¢ÏµÍ³·¢Óý¶àÑùÐÔ¡¢¡¢ÏµÍ³·¢Óý½á¹¹ºÍÇøÏµÄêËê½á¹¹²î±ð
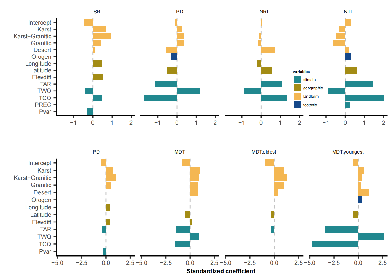
£¨aÎïÖÖ¸»ºñ¶ÈSR; bϵͳ·¢Óý¶àÑùÐÔÖ¸ÊýPDI; c¾»Ïà¹ØÖ¸ÊýNRI; d×î½ü·ÖÀ൥λָÊýNTI; eϵͳ·¢Óý¶àÑùÐÔPD£»fËùÓÐÎïÖֵį½¾ù·Ö»¯ÄêËêMDT; g×î¹ÅÀϵÄ25%ÎïÖÖÆ½¾ùÄêËêMDT.oldest; h×îÄêÇáµÄ25%ÎïÖÖÆ½¾ùÄêËêMDT.youngest¡£¡£¡£xÖá, ÒÀ´ÎΪ: µ¤Ï¼10´¦, »ÄÔ13´¦, »¨¸ÚÑÒ84´¦, ¿¦Ë¹ÌØ19´¦, »ìºÍ14´¦£©
»Ø¹éÆÊÎöЧ¹ûÅú×¢£¬£¬£¬É½µØµÄÎïÖÖ¶àÑùÐÔÊܵ½µØÃ²ÀàÐÍÓëɽµØº£°Î¡¢¡¢ÌìÆøÒòËØ½»»¥×÷ÓõÄÓ°Ï죬£¬£¬Ó뺣°Î¸ß¶ÈºÍ×îÀäÔ¾ùγÊÕýÏà¹Ø£¬£¬£¬Óë×îÈÈÔ¾ùÎÂ˳ÌìÆø²¨¶¯³Ì¶È³Ê¸ºÏà¹Ø¡£¡£¡£É½µØÇøÏµµÄϵͳ·¢Óý½á¹¹Ö÷ÒªÊܵ½ÌìÆøÒòËØµÄÓ°Ï죬£¬£¬µ«µØÃ²ÀàÐͶÔÇøÏµµÄÎïÖÖ×é³ÉÈÔÓÐÖ÷ҪТ˳£¬£¬£¬ÆäÖеØÃ²ÀàÐÍÊǽø»¯ÉϽϹÅÀϵÄÎïÖÖÔÚɽµØÇøÏµÄÚȺ¼¯µÄÖ÷Òª¾öÒéÒòËØ£¬£¬£¬¶øÌìÆøÒòËØÊǽø»¯ÉϽÏÄêÇáµÄÎïÖÖÔÚɽµØÈº¼¯µÄÖ÷Òª¾öÒéÒòËØ£¨Í¼4£©¡£¡£¡£

ͼ4 Ô¤²â±äÁ¿¶ÔɽµØÖ²ÎïÇøÏµÎïÖÖ¸»ºñ¶È¡¢¡¢ÏµÍ³·¢Óý¶àÑùÐÔ¡¢¡¢ÏµÍ³·¢Óý½á¹¹ºÍÄêËê½á¹¹µÄÓ°Ïì
(Á½Í¼ÒÔµ¤Ï¼+¿ËÀͨΪ»ù×¼, ¿¦Ë¹ÌØ¡¢¡¢¿¦Ë¹ÌØ-»¨¸ÚÑÒ¡¢¡¢»¨¸ÚÑÒ--NTI½ÏµÍ, PDI½Ï¸ß¡£¡£¡£Ô¤²â±äÁ¿, °üÀ¨ÎåÖÖµØÃ²ÀàÐÍ¡¢¡¢½á¹¹ÀàÐÍ¡¢¡¢µØÀíÒò×Ó£¨¾¶È, γ¶È, º£°ÎÂä²îElevdiff£©¡¢¡¢ÌìÆøÒò×Ó£¨µÈÎÂÐÔ, TAR-ζÈÄê½Ï²î, TWQ-×îÈȼ¾¾ùÎÂ, TCQ-×îÀä¼¾¾ùÎÂ, PREC-Ä꽵ˮÁ¿; ÿ¸öÌõÐÎͼµÄ³¤¶ÈÌåÏÖ±äÁ¿µÄÚ¹ÊÍÁ¦£©
²î±ðµØÃ²ÀàÐ͵ÄɽµØÇøÏµ£¬£¬£¬ÔÚÎïÖÖ×é³ÉÉÏÒ²±£´æÒ»¶¨²î±ð£¬£¬£¬È绨¸ÚÑÒɽµØÂþÑÜÓи»ºñµÄľÀ¼Ä¿¡¢¡¢»¢¶ú²ÝÄ¿¡¢¡¢¶Å¾é»¨Ä¿Ö²Î¿¦Ë¹ÌØÉ½µØÔò¾ßÓнϸ»ºñµÄ½õ¿ûÄ¿¡¢¡¢Ç¾Þ±Ä¿ºÍ´½Ðλ¨Ä¿Ö²Î¿¦Ë¹ÌØ-»¨¸ÚÑÒɽµØ´ú±í×Å»ìºÍÓë¹ý¶ÉÀàÐÍ£¬£¬£¬°üÀ¨Ðí¶àÊ£ÓàÆ×ϵ£¬£¬£¬Èç¿Ç¶·Ä¿¡¢¡¢É½ÜïÝÇÄ¿¡¢¡¢É¡ÐÎÄ¿µÈ£»µ¤Ï¼É½µØÒԺ̱¾Ä¿¡¢¡¢Ç¾Þ±Ä¿¡¢¡¢´½Ðλ¨Ä¿½Ï¸»ºñ£»»ÄÔɽµØÔòÒԺ̱¾Ä¿¡¢¡¢¾ÕÄ¿¡¢¡¢Ê¯ÖñÄ¿½Ï¸»ºñ£¨Í¼1ºÍͼ5£©¡£¡£¡£

ͼ5 Öйú140¸öɽµØÖ²ÎïÇøÏµ°´Ä¿¹¹½¨µÄÈÈÁ¦Ñ§Í¼
£¨µÚ1×é, »ÄÔÇøÏµ, Ö÷ÒªÓÐPoales¡¢¡¢Asterales¡¢¡¢Caryophyllales¡¢¡¢Fabales¡¢¡¢BrassicalesºÍBoraginales; µÚ2×é, »¨¸ÚÑÒ¡¢¡¢¿¦Ë¹ÌØ¡¢¡¢»ìºÍÇøÏµ, Ö÷ÒªÓÐǾޱĿ¡¢¡¢¶Å¾é»¨Ä¿¡¢¡¢ºÌ±¾Ä¿¡¢¡¢LamialesºÍAsterales; µÚ3×é, λÓÚÖв¿ÑÇÈÈ´ø, »¨¸ÚÑÒ¡¢¡¢»ìºÍÇøÏµ, ǾޱĿ×ºñ£¬£¬£¬´Î֮ΪLamiales¡¢¡¢Ericales¡¢¡¢AsteralesºÍAsparales¡£¡£¡£µÚ4×é, »¨¸ÚÑÒ¡¢¡¢µ¤Ï¼ÇøÏµ, Ö÷ÒªÓÐPoales¡¢¡¢Rosales¡¢¡¢LamialesºÍEricales; ÆäÖе¤Ï¼µÄºÌ±¾Ä¿¸ü¸»ºñ, »¨¸ÚÑÒµÄEricales¸ü¸»ºñ£©
»ùÓÚÉÏÊöЧ¹û£¬£¬£¬±¾Ñо¿Ìá³öÁË¡°µØÃ²ÇøÏµ£¨landform flora£©¡±¿´·¨ºÍ¡°µØÖÊ-ÑÒÐÔÖ²ÎïÇøÏµ¼Ù˵£¨floristic geo-lithology hypothesis£©¡±£¬£¬£¬ÒÔÚ¹ÊÍɽµØÖ²ÎïÇøÏµµÄÐγɺͷֻ¯¡£¡£¡£ÒÔΪɽµØÖ²ÎïÇøÏµµÄÐγÉÀú³ÌÊÜÑÒʯȦѻ·µÄÓ°Ï죬£¬£¬ÎïÖÖ¶àÑùÐÔµÄȺ¼¯¼°·Ö»¯Ó롰ɽµØ»ùÑÒÀàÐͺÍÇÖÊ´³Ì¶È¡±Ö±½ÓÏà¹Ø£»ÓÈÆäÊÇÒò»ùÑÒ²î±ð¶øÐγɵġ°µØÃ²ÌØÓÐÖÖ¡±Êǵ¼Ö²î±ðµØÃ²ÀàÐÍÆäɽµØÖ²ÎïÇøÏµ·ÖÒìµÄÖ÷ҪȪԴ£»²î±ð¡°µØÃ²ÇøÏµ¡±ÒòËØµÄ¡°¿çµØÃ²À©É¢Àú³Ì¡±»áÊܵ½Éú¾³²î±ðÐÔµÄÖÆÔ¼¡£¡£¡£¡£¡°µØÖÊ-ÑÒÐÔÖ²ÎïÇøÏµ¼Ù˵¡±Ç¿µ÷ÁË»ùÑҺ͵ØÃ²Àú³ÌÔÚɽµØÖ²ÎïÇøÏµÐγÉÖÐÓÐÖ÷Òª×÷Ó㬣¬£¬ÎªÕ¹ÏÖ²î±ðɽµØÖ®¼äÖ²ÎïÇøÏµÒòËØµÄÁ÷¶¯£¬£¬£¬ÒÔ¼°È«ÇòɽµØÖ²Îï¶àÑùÐÔÂþÑÜÃûÌÃÌṩÁËеÄ˼Ð÷¡£¡£¡£
±¾Ñо¿µÄÍê³ÉÒ²µÃÒæÓÚngµç×ÓÓÎÏ·Õźê´ï½ÌÊÚ1974ÄêËùÌá³öµÄ¡°ÖÐÔÖ²ÎïÀíÂÛ¡±ÒÔ¼°Ëù¿ªÉèµÄ¡°Ö²ÎïÇøÏµÑ§¡±¿Î³Ì£¬£¬£¬ÔÚ´Ë»ù´¡ÉÏ¡°·ÖÀàѧÓëÇøÏµÑ§Ñо¿¿ÎÌâ×顱×îÏÈÆÕ±éµØÍøÂçÌìϸ÷ÇøÓòµÄÇøÏµ¿¼²ìÎÄÏ×£¬£¬£¬Ç°ºó20¶àÄêÀ´Ò²¶Ô¹ã¶«¡¢¡¢¹ãÎ÷¡¢¡¢º£ÄÏ¡¢¡¢½Î÷¡¢¡¢ºþÄϵÈ50¶à´¦×ÔÈ»±£»¤µØ¾ÙÐÐÁËÏÖʵ¿¼²ì£¬£¬£¬ÓÈÆäÊÇ2013-2018Äêngµç×ÓÓÎÏ·ËùÖ÷³ÖµÄ¡°¹ú¼Ò¿Æ¼¼»ù´¡ÐÔÊÂÇéרÏî--ÂÞÏöɽÂöµØÇøÉúÎï¶àÑùÐÔ×ۺϿÆÑ§¿¼²ì¡±£¨º¬67´¦¸÷¼¶±£»¤Çø¡¢¡¢34´¦¹ú¼ÒÉÁÖ¹«Ô°¡¢¡¢µØÖʹ«Ô°µÈ£©»ñµÃÁËÐí¶àеÄÇøÏµÊý¾Ý£¬£¬£¬Ö±½ÓÍÆ¶¯ÁËÕâÒ»ÏîÊÂÇé²¢µÃÒԳɸ塣¡£¡£
¸ÃЧ¹ûÒÔ¡°Landform and lithospheric development contribute to the assembly of mountain floras in China¡±ÎªÌâ½ÒÏþÔÚNature CommunicationsÉÏ£¬£¬£¬ngµç×ÓÓÎÏ·ÉúÃü¿ÆÑ§Ñ§ÔºÕÔÍòÒ帱Ñо¿Ô±¡¢¡¢ÁõÖҳɲ©Ê¿ºÍ»ªÄÏũҵ´óѧʩʫ²©Ê¿Îª±¾ÎÄÅäºÏµÚÒ»×÷Õߣ¬£¬£¬ÉúÃü¿ÆÑ§Ñ§ÔºÁÎÎIJ¨½ÌÊÚ¡¢¡¢·²Ç¿¸±½ÌÊÚ¡¢¡¢³ÂËØ·¼¸±Ñо¿Ô±ºÍÊ×¶¼Ê¦·¶´óѧÍõÀÙ¸±½ÌÊÚΪÅäºÏͨѶ×÷Õß¡£¡£¡£ÉîÛÚ´óÅô°ëµº¹ú¼ÒµØÖʹ«Ô°Àî½àÀ¼²©Ê¿£¬£¬£¬ÄϾ©ÁÖÒµ´óѧÔÊÐíÍú¸±½ÌÊÚ£¬£¬£¬ngµç×ÓÓÎÏ·ÁõεÇï½ÌÊÚ¡¢¡¢ÐÁ¹úÈÙ½ÌÊÚ¡¢¡¢ÊøÎÄÊ¥½ÌÊÚ£¬£¬£¬ÖÙâýũҵ¹¤³ÌѧԺ¹ù΢½ÌÊÚ¡¢¡¢ÍõÁúÔ¶¸±½ÌÊÚ¡¢¡¢»ªÄÏũҵ´óѧËÕÖ¾Ò¢½ÌÊÚ¡¢¡¢´Þ´ó·½½ÌÊÚ£¬£¬£¬ÃÀ¹ú¹þ·ð´óѧDaivd E. Boufford½ÌÊÚµÈÒ²ÊÇÂÛÎĵÄ×÷Õß¡£¡£¡£±¾Ñо¿»ñµÃÁ˿Ƽ¼²¿»ù´¡ÐÔÊÂÇéרÏ2013FY111500£©¡¢¡¢ÉîÛÚ´óÅô°ëµº¹ú¼ÒµØÖʹ«Ô°¡°Ö²±»ÓëµØÖÊÇéÐÎÐͬÑÝ»¯×¨ÏHT-99982020-0258£©¡±¡¢¡¢¹ã¶«Ê¡¹ú¼Ò¹«Ô°£¨Ä⽨£©½¨ÉèרÏî¡°µ¤Ï¼É½ÉúÎï¶àÑùÐÔ¿Æ¿¼£¨2021GJGY034£©¡±¡¢¡¢¹ãÖÝÊпƼ¼ÍýÏëÏîÄ¿£¨201903010076¡¢¡¢202102021016£©ºÍngµç×ÓÓÎÏ·Õźê´ï¿ÆÑ§»ù½ðµÈµÄ×ÊÖú¡£¡£¡£
ÂÛÎÄÁ´½Ó£º£ºhttps://doi.org/10.1038/s41467-024-49522-4