ngµç×ÓÓÎÏ·ÐÂÎÅÍøÑ¶£¨Í¨Ñ¶Ô±À×ÊÀݼ£©¿ËÈÕ£¬£¬£¬ngµç×ÓÓÎÏ·ÎïÀíѧԺҦµÀнÌÊÚÍŶÓÔÚÁ¿×ÓÏà±äµÄÎÞÐòËã·û±ê¶ÈÐÐΪÑо¿ÖÐÈ¡µÃÖ÷ҪϣÍû£¬£¬£¬ÔÚ¹ú¼ÊÉÏÊ×ÏÈÌá³öÎÞÐòËã·û¿ÉÒÔÓÃÀ´Ì½²â½çÏß̬ºÍ½çÏßµÄÁÙ½çÐÐΪ£¬£¬£¬²¢ÆÊÎöÁËÆä±ê¶ÈÐÐΪ¡£¡£¡£2024Äê5ÔÂ17ÈÕ£¬£¬£¬¸ÃЧ¹ûÒÔ¡°Measuring the Boundary Gapless State and Criticality via Disorder Operator¡±ÎªÌ⣬£¬£¬ÒÔngµç×ÓÓÎϷΪµÚÒ»µ¥Î»½ÒÏþÔÚ¹ú¼ÊÖøÃûÎïÀí¿¯Îï¡¶ÎïÀí̸Âۿ챨¡· (Physical Review Letters 132, 206502 (2024))£¬£¬£¬²¢»ñµÃ±à¼ÍƼö(Editor¡¯s suggestion)¡£¡£¡£
Á¿×ÓÏà±äÒ»Ö±ÊÇÄý¾Û̬ÎïÀíÖÐÖ÷ÒªÇÒÓÐȤµÄÖ÷ÌâÖ®Ò»¡£¡£¡£¾§¸ñϵͳµÄ½çÏßÓÉÓÚÆäÅäλÊýµÄ²î±ðÕ¹ÏÖ³ö±ÈÌåÄÚÔ½·¢¸»ºñµÄÏà±äÐÐΪ£¬£¬£¬¼´ÍâòÁÙ½çÐÐΪ¡£¡£¡£ÓÉÓÚ±ßÑØÄ£ÓëÌåµÄÁÙ½çÕÇÂäñîºÏÔÚÒ»Æð£¬£¬£¬½çÏß»áÓÕµ¼³öÐÂÓ±µÄÏà±äÐÐΪ£¬£¬£¬ÎüÒýÁËÖÚ¶àÑо¿Ö°Ô±µÄ¹Ø×¢¡£¡£¡£ÔõÑùÔÚ¶àÌåÅÌËãÖУ¬£¬£¬ÌáÈ¡½çÏßÁÙ½çÐÐΪµÄÐÅÏ¢£¬£¬£¬½øÒ»²½ÑéÖ¤ÍâòÁÙ½çÀíÂ۵Ŀɿ¿ÐÔ£¬£¬£¬ºÃ±È½çÏß¹²Ðγ¡ÂÛ(BCFT)£¬£¬£¬ÊÇÁ¿×Ó¶àÌåÅÌËãÖ÷ÒªµÄÆ«Ïò¡£¡£¡£
ÁíÍâÒ»·½Ã棬£¬£¬½üÄêÀ´·Ç¾ÖÓòËã·ûµÄÑо¿Öð½¥ÐËÆð£¬£¬£¬ËüÃÇ¿ÉÒÔ´Ó¹ãÒåµÄ¶Ô³ÆÐÔºÍdomain wallµÄ½Ç¶ÈÈ¥Ã÷È·ÎïÏàºÍÏà±ä¡£¡£¡£ÎÞÐòËã·û×÷ΪһÖַǾÖÓòµÄÕÉÁ¿Ëã·û£¬£¬£¬Äܹ»Õ¹ÏÖÏàºÍÏà±äµãµÄ¸ß¼Û¶Ô³ÆÐԺ͹²Ðγ¡ÂÛÐÅÏ¢£¬£¬£¬´ÓÈ«¾ÖµÄ½Ç¶ÈÃ÷È·Ïà±äÆÕÊÊÀàµÄÐÅÏ¢¡£¡£¡£ÀýÈ磬£¬£¬ÔÚS=1/2µÄ¶þάÕý·½¾§¸ñJ1-J2Öù×´º£É±¤Ä£×ÓÖУ¬£¬£¬Äܹ»ÌáÈ¡³öO(3)Ïà±äµãµÄÁ÷ÖÐÐĺÉCJ£¬£¬£¬·´Ó³ÆäÆÕÊÊÀàÐÅÏ¢¡£¡£¡£
Ò¦µÀнÌÊÚÍŶÓÂÊÏÈʹÓÃÎÞÐòËã·û¶Ô¶þά¾ßÓжԳÆÐÔ±£»£»£»¤ÍØÆËÏà(SPT)µÄAKLTÄ£×ӵĽçÏßÐÔ×Ó¾ÙÐÐÁËÑо¿¡£¡£¡£ÔÚAKLTÏ࣬£¬£¬½çÏßµÄ×ÔÐýÐγÉÓÐÓõĺ£É±¤Á´¡£¡£¡£ÎÞÐòËã·ûÄܹ»·´Ó³±ßÑØÌ¬µÄÎïÀíÐÔ×Ó£¬£¬£¬ÌáÈ¡º£É±¤Á´µÄLuttinger²ÎÊý£¬£¬£¬Õ¹ÏÖ(1+1)ά½çÏßSU(2)1µÄÎïÀí¡£¡£¡£µ±ÏµÍ³¿¿½üÏà±äµãʱ£¬£¬£¬ÎÞÄÜ϶µÄ±ßÑØÄ£ÓëÌåµÄÁÙ½çÕÇÂäÖð½¥ñîºÏÔÚÒ»Æð£¬£¬£¬ÎÞÐòËã·û²»µ«Äܹ»·´Ó³±ßÑØÌ¬µÄ(1+1)άµÄSU(2)1ÎïÀí£¬£¬£¬ÌáÈ¡Luttinger²ÎÊý£¬£¬£¬»¹Äܹ»ÌáÈ¡ÌåµÄÁÙ½çÐÐΪO(3)ÁÙ½çÄ£µÄ¹²Ðγ¡ÂÛÐÅÏ¢¡£¡£¡£
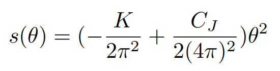
ÔÚ´Ë»ù´¡ÉÏ£¬£¬£¬Ò¦µÀнÌÊÚÍŶӶÔÎÞÐòËã·ûµÄ±ê¶ÈÐÐΪÌá³öÒ»¸öÒâÁÏ¡£¡£¡£ÔÚÁÙ½çµã´¦£¬£¬£¬ÎÞÄÜ϶±ßÑØÄ£º£ºÍÌåµÄÁÙ½çÄ£»£»£»áÒÔµþ¼ÓµÄÐÎʽ½øÈëµ½ÎÞÐòËã·ûµÄ±ê¶ÈÐÐΪÖУ¬£¬£¬ÌåÏÖÔÚÆä¶ÔÊýÏîÖУ¬£¬£¬ËüÃÇ×ñ´ÓÒÔϹ«Ê½¡£¡£¡£

ÆäÖеÄKÏîÓÉÎÞÄÜ϶µÄ±ßÑØÌ¬Ìṩ£¬£¬£¬¶øCJÏîÓÉÌåµÄO(3)ÁÙ½çģТ˳¡£¡£¡£ÊýֵЧ¹ûºÜºÃµØÑéÖ¤ÁËÒâÁϵĿɿ¿ÐÔ£¬£¬£¬´ÓÊýÖµ½Ç¶ÈÖ±¹ÛÕ¹ÏÖÁ˱ßÑØÄ£ÓëÌåµÄÁÙ½çÕÇÂäñîºÏµÄÎïÀíͼÏñ¡£¡£¡£
½øÒ»²½£¬£¬£¬Ò¦µÀнÌÊÚÍŶÓʹÓÃÁ¿×ÓÃÉÌØ¿¨ÂåÒªÁìÑо¿Á˶þάAKLTÄ£×ӵľÀ²øÆ×ºÍÄܯ׵ĶÔÓ¦¹ØÏµ¡£¡£¡£ÖøÃûµÄLi-HaldaneÒâÁÏÖ¸³öÔÚÍØÆË̬ÄÚÀï¾À²øÆ×µÄµÍÄܲ¿·ÖºÍ¿ª½çÏßµÄÄܯ׾ßÓÐÖðÒ»¶ÔÓ¦µÄ¹ØÏµ¡£¡£¡£Ñо¿ÍŶӷ¢Ã÷£¬£¬£¬ÔÚAKLTÄ£×Ó½çÏßÊ©¼Ó΢ÈÅ£¬£¬£¬Æä¾À²øÆ×ºÍÄܯײ¢²»×ÜÊǾßÓжÔÓ¦¹ØÏµ£»£»£»ÔÚijЩÇéÐÎÏ£¬£¬£¬×ÝÈ»½çÏßÄð³ÉÓÐÄÜ϶µÄ£¬£¬£¬Æä¾À²øÆ×ºÍÄÜÆ×Ò²¾ßÓжÔÓ¦¹ØÏµ¡£¡£¡£Ñо¿ÍŶÓʹÓÃеij涴ͼÏñºÜºÃµØÚ¹ÊÍÁËÕâЩÊýֵЧ¹û£¬£¬£¬²¢Õ¹ÏÖÁ˳涴ͼÏñ¿ÉÒÔ³ÉΪÃ÷È·ÖØ´óϵͳ¾À²øÆ×ת±äµÄÇ¿ÓÐÁ¦µÄ¹¤¾ß¡£¡£¡£Ïà¹ØÊÂÇéÒѾ½ÒÏþÔÚPhysical Review B¿¯ÎïÉÏ(Phys. Rev. B 109, 094416(2024))¡£¡£¡£ ÔÚ´Ë֮ǰ£¬£¬£¬Ò¦µÀнÌÊÚÍŶÓʹÓÃÁ¿×ÓÃÉÌØ¿¨ÂåÒªÁìÑо¿Á˸ÃÄ£×ÓÌåºÍ½çÏßµÄÒý·¢Æ×£¬£¬£¬ÎªÃ÷È·¶Ô³Æ±£»£»£»¤ÍØÆËÏàºÍ´ÅÓÐÐòµÄÒý·¢ÌṩÁËÖ÷ÒªµÄÊýÖµÒÀ¾Ý(Phys. Rev. B 105, 014418 (2022))¡£¡£¡£²¢ÇÒ£¬£¬£¬Ò¦µÀнÌÊÚÍŶӻ¹¶ÔS>1/2µÄ¶þάËİ˾§¸ñº£É±¤Ä£×ÓµÄÏàͼºÍÒý·¢Æ×¾ÙÐÐÁËÏ꾡µÄÅÌËãºÍÑо¿(Phys. Rev. B 106, 085101 (2022))¡£¡£¡£

S=1/2µÄJ1-J2Ëİ˾§¸ñº£É±¤Ä£×ÓµÄÏàͼ£¬£¬£¬ÎÞÐòËã·û·´Ó³ÁËÁÙ½çµã´¦±ßÑØÄ£º£ºÍÌåµÄÁÙ½çÄ£ñîºÏÔÚÒ»ÆðµÄÎïÀíÐÅÏ¢¡£¡£¡£
ngµç×ÓÓÎÏ·ÎïÀíѧԺ²©Ê¿Ñо¿ÉúÁõÔóéªÎªÂÛÎĵĵÚÒ»×÷Õߣ¬£¬£¬ngµç×ÓÓÎÏ·ÎïÀíѧԺ½ÌÊÚÒ¦µÀС¢¡¢Î÷ºþ´óѧÑо¿Ô±ÑÏÕýºÍ±±¾©º½¿Õº½Ìì´óѧº¼Öݹú¼ÊÁ¢ÒìÑо¿Ôº¸±½ÌÊÚÍõÑÞ³ÉΪÂÛÎĵÄͨѶ×÷Õߣ¬£¬£¬±ÈÀûʱ¸ùÌØ´óѧ²©Ê¿ºó»ÆÈðÕä¼ÓÈëÁ˱¾Ñо¿µÄÀíÂÛÊÂÇé¡£¡£¡£ngµç×ÓÓÎÏ·µÄÀíÂÛÑо¿ÊÂÇéÒÀÍÐÎïÀíѧԺ¹«¹²¿ÆÑÐÆ½Ì¨ºÍÖÐ×Ó¿ÆÑ§Æ½Ì¨¡¢¡¢¹ã¶«Ê¡´ÅµçÎïÐÔÆÊÎöÓëÆ÷¼þÖØµãʵÑéÊÒ¡¢¡¢¹âµçÖÊÁÏÓëÊÖÒÕ¹ú¼ÒÖØµãʵÑéÊÒ¡¢¡¢¸ßµÈѧÊõÑо¿ÖÐÐÄ£»£»£»ÅÌËãÊÂÇéÒÀÍÐngµç×ÓÓÎÏ·¹ú¼Ò³¬µÈÅÌËã¹ãÖÝÖÐÐÄ¡£¡£¡£ÉÏÊöÊÂÇé»ñµÃ¹ú¼ÒÖØµãÑз¢ÍýÏë¡¢¡¢¹ú¼Ò×ÔÈ»¿ÆÑ§»ù½ðµÈµÄ×ÊÖú¡£¡£¡£
ÂÛÎÄÁ´½Ó£º£ºhttps://journals.aps.org/prl/abstract/10.1103/PhysRevLett.132.206502