ngµç×ÓÓÎÏ·ÐÂÎÅÍøÑ¶£¨Í¨Ñ¶Ô±ÂÀ¾êÈÝ£©ÔÚÈ«Çò¹æÄ£ÄÚ£¬£¬£¬Éú̬ϵͳ¹¦Ð§Êܵ½Öظ´¸ÉºµºÍÉúÎï¶àÑùÐÔϽµµÄÍþв£¬£¬£¬µ«¶Ô¶àÑùÐÔ-Éú²úÁ¦¹ØÏµµÄ¸ÉºµÒÀÀµÐÔÈÔÖªÖ®ÉõÉÙ¡£¡£Ö²Îï¶àÑùÐÔºÍÌìÆø×ª±äÊdzõ¼¶Éú²úÁ¦ºÍÑø·ÖÑ»·µÄÒªº¦Çý¶¯Á¦¡£¡£½üÄêÀ´£¬£¬£¬Ö²Îï¶àÑùÐÔËðʧÓëÌìÆø×ª±äÏà¹ØµÄ¸ÉºµÖ®¼äµÄÏ໥×÷ÓÃÈÕÒæÊܵ½¹Ø×¢£¬£¬£¬ÓÐÑо¿·¢Ã÷£¬£¬£¬ÓÉÓÚ¶àÑùÐÔËðʧ¶øµ¼ÖµÄÉú̬ϵͳÉú²úÁ¦Ï½µ¿ÉÄÜ»áÒò¸ÉºµÊÂÎñ¶ø¼Ó¾ç¡£¡£¸üºÃµØÃ÷È·¶àÑùÐÔ-Éú²úÁ¦¹ØÏµºÍ¸ÉºµÑ¹Á¦Ö®¼äÁªÏµµÄÄÚÔÚ»úÖÆ£¬£¬£¬¹ØÓÚÌìÆø»º½âÊÂÇéºÍʵÑéÓÐÓõĻùÓÚ×ÔÈ»µÄÌìÆø½â¾ö·½°¸ÖÁ¹ØÖ÷Òª¡£¡£
ngµç×ÓÓÎÏ·Óк¦ÉúÎï¿ØÖÆÓë×ÊԴʹÓùú¼ÒÖØµãʵÑéÊÒ´¢³Ï½ø½ÌÊÚÍŶÓÉè¼ÆÁËÄ£Äâ¸ÉºµºÍģʽÆúÖÖÌïȺÂ䣨360ÆäÖÐÐÍʵÑéÉú̬ϵ/Ö²ÎïȺÂ䣩µÄÁ½½×¶ÎʵÑ飬£¬£¬ÒÔÑо¿ÔÚËæºóµÄ¸ÉºµÏ£¬£¬£¬½µÓêµÄÂýÐÔïÔÌ£¨Ñ¹Á¦¸Éºµ£©ÊÇ·ñÒÔ¼°ÔõÑù¸Ä±äÍÁÈÀÒÅÁôЧӦºÍÖ²Îï¶àÑùÐÔ-Éú²úÁ¦¹ØÏµ¡£¡£ÔÚµÚÒ»½×¶Î£¬£¬£¬ÔÚÇéÐλò¸ÉºµÌõ¼þÏ£¬£¬£¬ÔÚ¾ùÖÊÍÁÈÀÖÐݪֲÁË120¸ö¾ßÓÐÎå¸öÎïÖÖ¸»ºñ¶ÈˮƽµÄģʽֲÎïȺÂ䣬£¬£¬ÒÔÌìÉú¡°Ìõ¼þ¡±ÍÁÈÀÑù±¾¡£¡£ÔÚµÚ¶þ½×¶Î£¬£¬£¬ÎªÐ½¨ÉèµÄÖ²ÎïȺÂäÌṩÁËÍÁÈÀ½ÓÖÖÎ£¬£¬ÎÞÂÛÊÇ·ñÓÐ֮ǰµÄ¸ÉºµÌ»Â¶£¬£¬£¬²¢¾Êܸɺµ»òÇéÐν½Ë®Ìõ¼þ£¨Í¼1£©¡£¡£Ïêϸ¶øÑÔ£¬£¬£¬Ñо¿¼ÙÉ裨i£©¸ÉºµºÍÖ²ÎïÎïÖÖ¸»ºñ¶ÈÅäºÏÓ°ÏìÍÁÈÀ΢ÉúÎïȺÂ䣬£¬£¬£¨ii£©¸ÉºµÍÁÈÀÒÅÁôЧӦӰÏìÉúÎï¶àÑùÐÔЧӦ¶ÔÖ²ÎïÉú²úÁ¦µÄÓ°Ï죬£¬£¬ÒÔ¼°£¨iii£©ËæºóµÄ¸Éºµ¸Ä±äÁ˸ɺµÍÁÈÀÒÅÁôЧӦ¶Ô¶àÑùÐÔ-Éú²úÁ¦¹ØÏµµÄÓ°Ïì¡£¡£

ͼ1. ʵÑéÉè¼ÆµÄʾÒâͼ
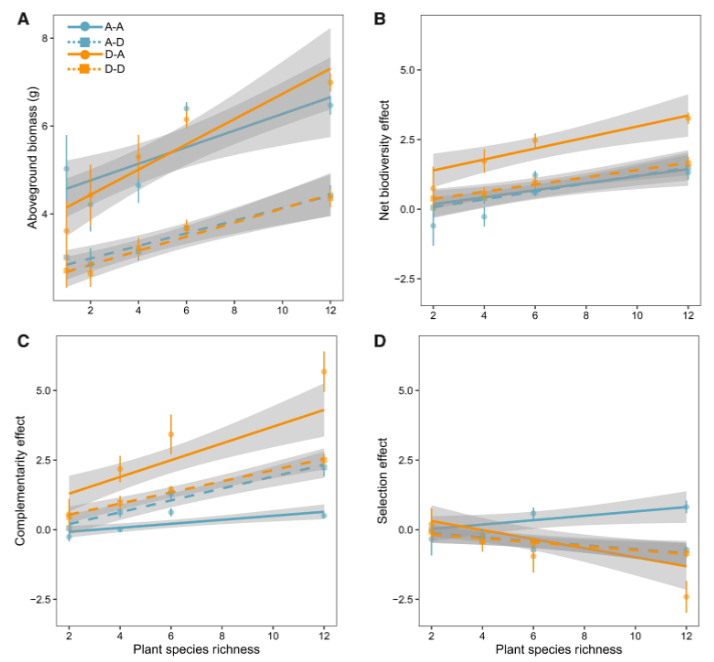
Ñо¿·¢Ã÷£¨Í¼2-3£©£º£º£º£¨i£©¸Éºµ½µµÍÁËϸ¾úºÍÕæ¾úµÄ¸»ºñ¶È£¬£¬£¬²¢¸Ä±äÁËÖ²ÎïÎïÖÖ¸»ºñ¶ÈºÍ΢ÉúÎïȺ֮¼äµÄ¹ØÏµ£»£»£»£¨ii£©¸ÉºµÍÁÈÀÒÅÁôЧӦÔöÌíÁËÉúÎï¶àÑùÐÔ¾»Ð§Ó¦£¬£¬£¬µ«ÉúÎï¶àÑùÐÔ¾»Ð§Ó¦¶ÔÖ²ÎïÎïÖÖ¸»ºñ¶ÈµÄÏìÓ¦²»ÊÜÓ°Ï죻£»£»£¨iii£©Ö²ÎïÎïÖÖ¸»ºñ¶ÈºÍ»¥²¹ÐÔ/Ñ¡ÔñЧӦ֮¼äµÄÁªÏµÒòÒÑÍùºÍËæºóµÄ¸Éºµ¶ø²î±ð¡£¡£±¾Ñо¿Ð§¹ûΪÔÚһֱת±äµÄÇéÐÎÖÐÉúÎï¶àÑùÐÔÓëÉú²úÁ¦µÄ¹ØÏµÌṩÁË»úÖÆÉϵĿ´·¨£¬£¬£¬²¢¶ÔÌìÆø×ª±äÏÂÉú̬ϵͳ¹¦Ð§µÄÎȹÌÐÔ±¬·¢ÁËÓ°Ïì¡£¡£

ͼ2. µÚÒ»½×¶ÎÍÁÈÀ΢ÉúÎïȺÂä

ͼ3. µÚ¶þ½×¶ÎµÄµØÉÏÉúÎïÁ¿ºÍÉúÎï¶àÑùÐÔЧӦ
Ñо¿Ð§¹ûÒÔ¡°Drought soil legacy alters drivers of plant diversity-productivity relationships in oldfield systems¡±ÎªÌâÓÚ2022Äê5ÔÂ4ÈÕ½ÒÏþÔÚÆÚ¿¯Science Advances¡£¡£
ÂÛÎÄÁ´½Ó£º£º£ºhttps://www.researchgate.net/publication/360375803_Drought_soil_legacy_alters_drivers_of_plant_diversity-productivity_relationships_in_oldfield_systems